—、概述
在岸边集装箱起重机上,实现前大梁绕大梁铰点作俯仰运动的机构称之为俯仰机 构。俯仰机构由电动机驱动,通过联轴器,经减速器等传动装置驱动钢丝绳卷筒进行卷 绕动作实现前大梁的俯仰运动。
俯仰机构与起升机构有许多类似之处。前者是用来实现前大梁的俯仰运动,后者是 实现货物的升降运动,但是俯仰机构的俯仰速度比起升机构的升降速度低,是非经常性 工作机构。因此,俯仰机构与起升机构除计算工况不同外,其构造基本相同,特殊的是 俯仰机构的低速轴必须装设可靠的制动器,以备前大梁下降发生超速时紧急制动。此外, 俯仰机构与起升机构比较,还有下列不同:
(1) 俯仰机构中的卷筒可以是单层卷绕,也可以是多层卷绕,多层卷绕时可选用 “利巴”式卷筒。
(2) 如使用一根牵引钢丝绳缠绕系统,则必须设置均衡滑轮,以保证两边绳的受 力均衡。钢丝绳的偏角应满足规范的要求。
(3) 应设置应急机构,以备系统电控发生故障时,可以将前大梁抬起。
(4) 一般应设置安全钩,当前大梁仰起到极限位置时可将大梁钩住,以增加安全 裕度。
(5)要求设置限位和超速保护,保证其安全可靠地工作。通常不设过载保护装置。
二、俯仰机构的驱动装置布置形式
俯仰机构驱动装置的形式,基本上大同小异,主要有以下几种:
1 .电机与卷筒位于减速器两侧(图5-3-2.1)

1一凸轮限位器;2一卷筒支座;3—低速级液压盘式制动器;4—应急电机;5—应急减速器;
6—应急换档器;7—减速器;8—高速级联轴器;9—电动机;10—高速级制动器;11一测速/超速开关
2.电机与卷筒位于减速器同侧(图5-3-2.2)

在图5-3-2.1和图5-3-2.2中,低速级制动器可采用液压盘式制动器或带式制动器。 编码器在高速级,可以直接由电动机轴上配带,也可设置在减速器第二级高速轴上。超 速开关设在低速轴上,不设在高速轴。因为如果减速器出现了故障,引起失速,超速开 关设在高速轴上,就不起作用。俯仰机构应急机构在需要时,通过手动拨叉换档器和减 速器高速级联接。有些应急机构也做可移动式,除了用于俯仰机构外,也可移到起升机 构和小车运行机构处。
3 .行星减速器式俯仰驱动机构布置
有的岸桥为了减小机器房的空间,俯仰驱动机构采用行星减速器取代传统的平行轴 式减速器,如图5-3-2.3所示。

图5-3-2.3行星减速器俯仰机构
1—限位开关总成;2—卷筒支座;3—低速级制动器;4一卷筒;
5—低速级联轴器;6一行星减速器;7—高速级联轴器;8—高速级制动器;9—电动机
这种布置形式结构紧凑,占用空间小,使得对部件的维修检测有足够的空间。由于 采用行星减速器,造价高,目前很少采用。行星齿轮部分也可直接制作于卷筒内部。
三、俯仰钢丝绳卷绕系统
(一)钢丝绳卷绕系统的几种典型布置
俯仰钢丝绳卷绕系统,如果不考虑滑轮组倍率的变化,按照钢丝绳的分支数和是否 配置均衡滑轮来划分的,典型的布置形式有如下四种。
1 .俯仰钢丝绳两根分别独立缠绕,前大梁滑轮组一字型排开,放置在一根梁上, 如图5-3-2.4所示。
2.俯仰钢丝绳两根独立缠绕,前大梁上滑轮组前后布置,外侧为主滑轮组,内侧 辅助滑轮组,如图5-3-2.5所示。

图5-3-2.4钢丝绳卷绕系统(一) 图5-3-2.5钢丝绳卷绕系统(二)
3 .俯仰钢丝绳为一根钢丝绳缠绕,通过均衡滑轮组连接过渡,前大梁上滑轮组一 字型排开放置在一根梁上,如图5-3-2.6所示。
4.俯仰钢丝绳为一根钢丝绳缠绕,通过均衡滑轮连接过渡,前大梁上滑轮组前后 布置,外侧为主滑轮组,内侧为辅助滑轮组,如图5-3-2.7所示。

图5-3-2.6钢丝绳卷绕系统(三) 图5-3-2.7钢丝绳卷绕系统(四)
在以上四种布置形式中,钢丝绳端部接头或均衡滑轮的位置,按照滑轮组的倍率, 可以布置在梯形架滑轮组处也可布置在前大梁滑轮组处。
(二)钢丝绳绕组的均衡装置
俯仰机构通常用两根独立的钢丝绳,以保证1根钢丝绳发生折断时前大梁仍有1根 钢丝绳支持,为了保证2根钢丝绳受力均匀,设置有均衡装置。典型的俯仰机构均衡装 置如图5-3-2.8所示,图中有两个均衡滑轮。

图5-3-2.8钢丝绳绕组的均衡装置
为了换绳方便,俯仰机构也用一根钢丝绳绕过均衡滑轮和设置在绳上的特殊保护装 置,使其成为独立的受载钢丝绳,可起到均衡作用,且还可以起到对一边的断绳的保护 作用。
(三)俯仰钢丝绳的接头型式
设有均衡滑轮的俯仰钢丝绳通常只有一根,钢丝绳的两头均用钢丝绳压板固定在卷 筒上,接头型式有如下几种:
1 .钢丝绳在卷筒上的固定
其结构形式基本上与起升钢丝绳卷绕系统相同。
2.钢丝绳在梯形架或前大梁上滑轮组处的固定

3 .均衡滑轮处安全绳的固定

图5-3-2.10均衡滑轮处安全绳固定
四、俯仰机构的计算和算例
(一)机构设计及零部件选型要点
俯仰机构由驱动机构、钢丝绳卷绕系统、安全钩装置以及安全保护装置等组成。俯 仰机构驱动装置由电动机、联轴器、制动器、减速器、卷筒及支承等组成。钢丝绳卷绕 系统包括钢丝绳,动滑轮,平衡滑轮均衡装置以及钢丝绳接头等装置。安全钩装置包括 钩体,电动液力推杆,配重,支承座,限位开关等部件。安全保护装置除高低速级制动 器外,还配有凸轮限位开关,超速/测速开关,松绳限位开关等多种安全保护限位装置。
为保持双联卷筒两组钢丝绳载荷均衡,通常在梯形架俯仰定滑轮组中设置平衡滑 块,在俯仰过程中可以保持载荷均衡。当一侧钢丝绳突然断裂,此平衡滑块将保证另一 组钢丝绳将前大梁支撑住。由于当一组钢丝绳断裂时,另一组突然加载,将使平衡滑块 产生剧烈冲击,所以在设计时往往采取在梯形架上将两根钢丝绳分别用螺栓扣联接。安 装时,调整好两组钢丝绳的受载达到基本均衡,运行时当一组钢丝绳断裂时,另一组不 会产生剧烈冲击。当前大梁上仰至极限位置时,安全钩应挂上,并和俯仰机构联锁。
1 .电动机及其选型
岸桥的俯仰机构是非工作性机构,因此,电动机是间歇工作制,一般选用30min工 作制。考虑到岸桥俯仰机构的工作特点,电动机要求有较大的过载能力,一般为静态所 需功率的1.8〜2倍。对俯仰电机的要求与起升机构基本相同,常采用交流变频调速电机, 对俯仰电机的选用还需进行发热和过载验算。
2.制动器及其选型
对于俯仰机构,一般是将盘式制动器或轮式制动器装在电动机和减速器的输入轴直 径。此外,在俯仰机构卷筒上装设一个紧急制动器,如果在臂架向下放的过程中发生意 外情况,或电动机达到额定转速的110%,则离心开关进入动作,使应急制动器制动。
应急制动器一般使用夹钳式盘式制动器,也有使用带式制动器。
3 .减速器及其选型
俯仰机构减速器,一般选用水平剖分式卧式减速器,也可采用套装在变幅卷筒上的 所谓三支点减速器或采用卧式行星减速器。箱体基本都采用钢板焊接或铸钢,齿轮大部 分情况下要求渗碳淬火的硬齿面齿轮,由于俯仰机构不经常工作也可采用调质齿轮。
4.联轴器及其选型
俯仰联轴器的特点和要求与起升联轴器的特点和要求基本相同。俯仰联轴器的计算 载荷是以俯仰循环中的最大传递负荷为基础,安全系数至少为2.0。在俯仰驱动机构中, 高速级联轴器,目前采用较多的是齿形联轴器和梅花型联轴器。弹性柱销式联轴器和蛇 形联轴器,一般不用在俯仰机构中。低速级联轴器仍以球面支承式齿形联轴器和滚珠式 联轴器为主。
(二)设计参数和设计内容
俯仰机构设计时所需的参数包括:前大梁的总重Gb,俯仰速度*,整机和机构的 工作级别,起升状态。还应确定俯仰机构的滑轮组缠绕方案(滑轮的空间位置坐标,进 入滑轮组的钢丝绳数和俯仰滑轮组的倍率a等)。
设计的内容包括:钢丝绳选用,滑轮和卷筒设计,电动机的选用,减速器的选用,
以及电动机的校核和起、制动时间的校核等。
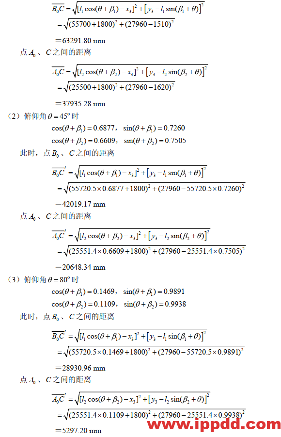
(三)计算实例1111

俯仰钢丝绳缠绕系统的坐标如例图5-3-2.2所示,坐标以前后大梁的联接铰点为坐 标原点,其他各滑轮组的坐标为:
前大拉杆铰点处单侧俯仰滑 轮组缠绕钢丝绳数n = 8,滑轮中 心的坐标前大拉杆铰点处单侧俯仰滑
轮组缠绕钢丝绳数 n1 = 8,滑轮中
心的坐标
x1 = 55700mm, y1 = 1510mm
前中拉杆铰点处单侧俯仰滑
轮组缠绕钢丝绳数 n2 = 2,滑轮中
心的坐标
x2 = 25500mm,y2 = 1620mm
梯形架上俯仰滑轮组中心的坐标 x3 = -1800mm, y3 = 27960mm
前大梁质心到铰点的距离 L = 34000mm。












