螺栓预紧力本着物尽其用的原则进行计算,在材料性能允许范围呢,拧的越紧越不容易松动。
螺栓预紧力的计算主要考虑螺栓材料的屈服强度、被紧固件的螺纹牙型的强度(剪应力、弯应力)。
首先按照螺栓应力(屈服强度)来计算预紧力及扭矩,同时考虑到材料的许用应力要求,一般规定拧紧后螺纹连接件的预紧力不得大于其材料屈服强度的80%,对于一般连接用的钢制螺栓,推荐的预紧力如下:
碳素钢螺钉预紧力 Fo=(0.6~0.7)×σ×As
合金钢螺钉预紧力 Fo=(0.5~0.6)×σ×As
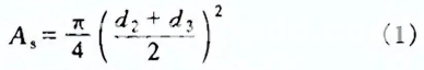
式中σ是指螺钉材料的屈服强度,As是指螺钉应力截面积。
螺钉应力截面积的计算,见式(1)、(2)。如无特殊要求,取3位有效数字。

或

式中 As一螺纹的应力截面积,mm2;
d一外螺纹大径的基本尺寸,mm;d2一螺纹中径的基本尺寸,mm;
d3一螺纹小径的基本尺寸(d1)减去螺纹
原始三角形高度(H)的1/6 值,即:
d3=d1-H/6 mm;
H一-螺纹原始三角形高度(H=0.866025P),mm;

螺栓拧紧时,力矩T用于克服螺纹副的螺纹阻力矩T1及螺母与被联接件(或垫圈)支承面间的端面摩擦力矩T2,即T=T1+T2,根据摩擦力计算公式f=μN,并简化模型计算,可采用经验公式来计算扭矩
其中:K是拧紧力系数,d是螺纹公称直径,Fo是预紧力。
拧紧力系数K与螺纹中径、螺纹升角、螺纹当量摩擦系数、螺母与被联接件支承面间的摩擦系数有关。而这些参数的取值都比较复杂,要准确地计算出K值,就要通过针对性的试验,同时测得预紧力和紧固扭矩才能间接获得拧紧力矩系数K值。公众号《机械工程文萃》,工程师的加油站!
预紧力的大小,除了受限于螺钉材料的强度外,还受限于被联接件的材料强度。当内外螺纹的材料相同时,只校核外螺纹强度即可。对于旋合长度较短、非标准螺纹零件构成的联接、内外螺纹材料的强度相差较大的受轴向载荷的螺纹联接,还应校核螺纹牙的强度。如某型产品弹性元件的固定,因螺钉连接的基材是铝合金,其强度远低于优质碳素结构钢的强度,就应校核铝合金上螺纹牙型的强度,主要是螺纹材料的剪应力及弯应力。
下面以12.9级M10的内六角圆柱头螺钉为例,分布计算,看看此螺钉的拧紧扭矩是多少。
12.9级M10的内六角圆柱头螺钉,屈服强度σ为1080MPa,螺钉应力截面积As为58mm²,带入下式:
12.9级M10的内六角圆柱头螺钉拧紧力矩 T=K×Fo×d
声明:部分内容来源于网络,仅供学习、交流。版权归原作者所有。如有不妥,请联系删除。