薄壁孔液阻流速、流量计算

薄壁孔液阻流速、流量计算  Hydraulic Technology
1.薄壁孔定义
壁厚小于孔半径,孔前通道直径超过孔直径7倍以上,流态为湍流等前提条件满足时,该孔可以看做薄壁孔,通过的流量与孔两端压差△P的平方根大致成线性关系,不直接受到粘度影响。即:
薄壁孔液阻流速、流量计算   
薄壁孔液阻流速、流量计算
2.在小孔处流速估算
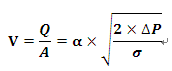
在小孔处流速估算有两种方法:
2.1通过流量除以面积估算,比较适合油缸或者马达。
2.2通过压降估算,比较适合孔口。
薄壁孔液阻流速、流量计算
对于调速阀、负载敏感多路阀等阀口压降通常为0.5Mpa,估算流速为
薄壁孔液阻流速、流量计算
对于伺服阀等阀口压降设计为7Mpa,估算流速为
薄壁孔液阻流速、流量计算
3.注意事项
3.1实际应用的小节流孔因考虑到加工方便,通常如下图所示,在一个内六角螺塞中钻一个孔。能做到壁厚小于孔直径就不错了。因此实际流量与公式计算得到的数值有所不同。
薄壁孔液阻流速、流量计算
3.2孔口流量公式仅对图4-5b所示流动方向成立。如果反向,如图4-7所示,则通过的流量q会显著不同。
猜测:它是顺着喇叭口方向,在相同的阀口压差下,应该会通过更多的流量。
薄壁孔液阻流速、流量计算
通过以上可以猜测,在如下不同形状可变节流口下,在相同阀口压降下,相同阀芯行程下,2箭头流动方向流量大于1箭头流动方向流量。有试验条件的可以验证。
薄壁孔液阻流速、流量计算
下图表征多路阀阀口通流面积为P到A,或者P到B,是顺着喇叭口方向,类似于图4-7。因此有可能工程师用孔口流量公式计算出来的流量小于试验测试得到的流量。
薄壁孔液阻流速、流量计算
3.3有测试报告称,当d=l,无倒角时,孔口流量系数a为0.72-0.77,。在略有倒角时,a可能达到1。这表示同样的压差下,通过的流量后者更多。
薄壁孔液阻流速、流量计算
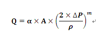
3.4随孔的形状而变的不仅是流量系数,甚至平方根关系也不一定能保证。因此,有文献把薄壁孔流量-压差关系表示成:
薄壁孔液阻流速、流量计算
式中m=0.5-1。
总结:通过3.1-3.4可以猜测,如果取孔口流量系数a为0.7,我们根据下面公式计算出来的孔口流量比实测流量偏小。有试验条件的可以进行验证。
薄壁孔液阻流速、流量计算
-END-液压技术 

本篇文章来源于微信公众号:港口技术安全

声明:本站所有文章,如无特殊说明或标注,均为本站原创发布。任何个人或组织,在未征得本站同意时,禁止复制、盗用、采集、发布本站内容到任何网站、书籍等各类媒体平台。如若本站内容侵犯了原著者的合法权益,可联系我们进行处理。
液压技术

薄壁孔液阻流速、流量计算

2020-11-9 13:28:57

液压技术

搞液压的一点体会

2021-7-14 20:08:05

0 条回复 A文章作者 M管理员
    暂无讨论,说说你的看法吧
个人中心
购物车
优惠劵
今日签到
有新私信 私信列表
搜索