物体产生的热量=物体升温的热量+物体散发的热量
我们设物体产生的热量是P1,物体升温的热量是P2,物体散发的热量是P3,于是有:
P1=P2+P3,式1
设某导线在零摄氏度时的电阻率是ρ0,导线的截面积是S,导线的长度是L,导线中流过的电流是I,导线的电阻温度系数是α,导线的实际温度值是θ,θ的单位是摄氏度℃。于是导线的发热功率P1为:
,式2
式2中,我们看到导线的产热原因就是导线中流过的电流,并且发热功率与电流的平方成正比。
我们再来看导线升温的热量表达式,如下:
,式3
在式3中,c是导线材料的比热容,m是它的质量,dτ是温升的改变量,我们由式3看到,dτ等于导线的实际温度值θ2与导线前一个温度测量值θ1之差。
我们很容易想到,当导线通电后过了一段时间,导线温度进入到稳定状态,导线的温升改变量当然等于零,于是P2=0。
我们再来看导线的散热。
我们知道,物体的散热有三种方式,分别是热传导、热对流和热辐射。伟大的牛顿把这三种散热方式统一起来,用一个统一的公式来表达,这就是牛顿散热公式,如下:
,式4
式4中,Kt叫做综合散热系数,它与导线所处的环境有关,与导线材料有关,与导线外部包覆的绝缘材料材质、厚度和颜色都有关;A是导线的表面积,τ是温升。
我们把式2、式3和式4都代入到式1中,如下:

当导线通电后进入稳定状态,上式中的θ2-θ1=0,于是有:
,式5
我们看图1:

我们看到,导线的散热面积是由三个部分构成的,其中两个面是导线的前后端面,第三个是它沿着长度方向的表面积。在计算散热时,要按最大散热面来考虑,所以在计算导线散热面积A时,只需要考虑它沿着长度方向的表面积即可。
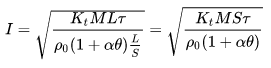
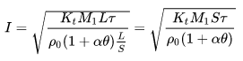
对于裸导线,我们设它的截面周长为M,于是它的散热面积A=ML;对于包覆了绝缘层的导线,我们设它的截面周长为M1,于是它的散热面积A=M1L。
据此,我们可以推导出两个导线载流量计算公式。第一个公式是裸导线的载流量公式,第二个是包覆了绝缘层导线的载流量公式。
裸导线的载流量公式:
由式5,有:
由此得到载流量为:
,式6-1
注意:式6-1中已经没有了导线长度L,说明导线的载流量与导线长度无关!
对于式6-1,注意它是裸导线,也即没有外包绝缘层的导线。我们设它的截面积S与截面周长M之比也即积周比为B,于是M=S/B,代入到式6-1中,得到:
,式6-2
从式6-2中我们看到,导线的载流量与导线截面成正比。
再看温升:
,式6-3
从式6-3中我们看到,温升与积周比B成正比。
我们在中学的平面几何课程中学过平面上的封闭图形的积周比,知晓在一切封闭图形中,圆具有最大的积周比。因此,圆形截面导线的积周比B最大,所以圆形截面导线的温升最高。也因此,在大电流的低压配电柜中,为了降低温升,低压配电柜的母线(当然是裸导线)都采用矩形截面的铜排构成。见下图:

上图是4000A的主母线,每相由四支60X10的矩形截面铜排组成。
包覆了绝缘层导线的载流量公式:
,式7-1
温升:
,式7-2
我们看到,温升与导线电流的平方成正比,与导线全截面周长M1成反比,与芯线截面积S成反比。
有了这些知识,我们就可以来这个问题了。
我们从式7-1和式7-2看到,导线的载流量与导线材料的电阻率(电线材质)、截面积、环境温度和综合散热系数有关。当这些参数确定后,载流量就确定了。
同时导线的温升,也就是导线是否会烧坏,则与流过导线的电流的平方成正比,与导线芯线截面和导线全断面周长成反比。
但我们一定要注意到,式7-2中芯线截面积是S,全断面的周长是M1。如果导线的电压等级越高,则绝缘层就越厚,M1的尺寸会加大而芯线截面尺寸S不变,电流I的大小也不变,那么温升会降低。
然而,式7-2成立的条件中还有一项,就是综合散热系数Kt。导线越粗,芯线散热越困难,虽然导线的表面散热较好,但芯线可能会因为过热而出问题。因此,综合散热系数Kt与S和M1之间存在非线性关系,这在式7-2中并没有表现出来。
要求解上述这些关系,我们必须做更加细致的推导,并采用有限元的分析方法来解得上述三个参数之间的关系,并用MATLAB仿真出结果。再经过实测最后给出结论。
看得出来,事情复杂化了。在实际工程中,我们不必如此麻烦。我们查阅电线电缆的制造商通过实测给出了电线的运用手册数据,就能判断导线在某个电压等级下的实际载流量。
因此,认为电线承载能力与功率有关系,这是对的。事实上,本贴开头的推导就是从功率开始的。
【知识扩展】
我们计算导线载流量完全满足要求,是不是就能使用了呢?答案是否定的,我们还要考虑导线在短路条件下的承受能力。这个计算是以线路中执行短路保护的开关跳闸时间为基准时间,在这段时间内导线必须要能够承受的起,不能出现焚毁事故,否则就会发生电气火灾。
END