中华人民共和国国家标准(ɡuó jiā biāo zhǔn)
低压配电设计规范
code for design oflow voltage electrial installations
GB 50054-2011

主编部门:中国机械工业联合会
批准部门:中华人民共和国住房和城乡建设部
施行日期:2012年6月1日
中华人民共和国住房和城乡建设部
第1100号
关于发布国家标准《低压配电设计规范》的公告
现批准《低压配电设计规范》为国家标准,编号为GB50054-2011,自2012年6月1日起实施。其中,第3.1.4、3.1.7、3.1.10、3.1.12、3.2.13、4.2.6、7.4.1条为强制性条文,必须严格执行。原《低压配电设计规范》GB50054-95同时废止。
本规范有我部标准定额研究所组织中国计划出版社出版发行。
中华人民共和国住房和城乡建设部
二O一一年七月二十六日
前 言
本规范(guīfàn)是根据原建设部《二OO一~二OO二年度工程建设国家标准制定、修改计划的通知》(建标【2002】85号)的要求, 由中机中电设计研究院有限公司会同有关单位在原《低压配电装置及线路设计规范》(GB50054-95)基础上修订而成的。
本规范在编制过程中, 编制组经广泛调查研究,认真总结实践经验,参考了国家标准和国外先进标准,并在广泛征求意见的基础上,最后经审查定稿。
本规范共分7章和1个附录,主要技术内容包括:总则、术语、电气和导体的选择、配电设施的布置、电气装置的电击防护、配电线路的保护、配电线路的敷设等。
修订的主要技术内容有:
1.将规范适用范围的电压由交流、工频500V以下修改为交流、工频1000V及以下;
2.取消了原规范总则中对于选用铜、铝导体材质的规定;
3.增设术语为单独一章,删除附录中的名词解释;
4.补充了功能性开关电器和剩余电流动作保护电器选择和安装的规定;
5.补充了选用具有中性极的开关电器的规定;
6.补充了IT系统中安装绝缘监测电器的规定;
7.补充了等电位联结用的保护联结导体截面积选择的规定;
8.将原第三章“配电设备的布置”中的第二节“配电设施布置中的安全措施”和第四章“配电线路的保护”中的第四节“接地故障保护”合并,并增加“SELV系统和PELV系统及FELV系统”一节,为第5章“电气装置的电击防护”;
9.在“配电线路的保护”一章中增加了“配电线路电气火灾防护”一节;
10.增加了关于“可弯曲金属导管布线”、“地面内暗装金属槽盒布线”、“矿物绝缘电缆敷设”、“预分支电缆敷设”的规定;
11.对原规范部分条文进行了补充、完善和调整。
本规范中以黑体字标志的条文为强制性条文,必须严格执行。
本规范由住房和城乡建设部负责管理和对强制性条文的解释,中国机械工业联合会负责日常管理工作,中机中电设计研究院有限公司负责具体技术内容的解释。本规范在执行过程中,请各单位注意总结经验,积累资料,随时将有关意见和建议寄送至中机中电设计研究院有限公司(地址:北京首都体育馆南路9号中国电工大厦;邮政编码:100048;E-mail:yaodalin@cneec.com.cn),以供今后修订时参考。
1 总 则
1.0.1为使低压配电设中,做到保障(bǎozhàng)人身和财产安全、节约能源、技术先进、功能完善、经济合理、配电可靠和安装运行方便,制订本规范。
1.0.2本规范适用于新建、改建和扩建工程中的交流、工频1000V 及以下的低压配电设计。
1.0.3低压配电设计除应符合本规范外, 尚应符合国家现行有关标准的规定。
2 术 语
2.0.1 预期接触电压
人或动物尚未接触到可导电部分时,可能同时触及的可导电部分之间的电压。
2.0.2 约定接触电压限值
在规定的外界影响条件下,允许无限定时间持续存在的预期接触电压的最大值。
2.0.3 直接接触
人或动物与带电部分的电接触。
2.0.4 间接接触
人或动物与故障状况下带电的外露可导电部分的电接触。
2.0.5 直接接触防护
无故障条件下的电击防护。
2.0.6 间接接触防护
单一故障条件下的电击防护。
2.0.7 附加防护
直接接触防护和间接接触防护之外的保护措施。
2.0.8 伸臂范围
从人通常站立或活动的表面上的任一点延伸到人不借助任何手段,向任何方向能用手达到的最大范围。
2.0.9 外护物
能提供与预期应用相适应的防护类型和防护等级的外罩。
2.0.10 保护遮栏
为防止从通常可能接近方向直接接触而设置的防护物。
2.0.11 保护阻挡物
为防止无意的直接接触而设置的防护物。
2.0.12 电气(diànqì)分隔
将危险带电部分与所有其他电气回路和电气部件绝缘以及与地绝缘,并防止一切接触的保护措施。
2.0.13 保护分隔
用双重绝缘、加强绝缘或基本绝缘和电气保护屏蔽的方法将一电路与其他电路分隔。
2.0.14 特低电压
相间电压或相对地电压不超过交流方均根值50V的电压。
2.0.15 SELV 系统
在正常条件下不接地,且电压不能超过特低电压的电气系统。
2.0.16 PELV系统
在正常条件下接地,且电压不能超过特低电压的电气系统。
2.0.17 FELV 系统
非安全目的而为运行需要的电压不超过特低电压的电气系统。
2.0.18 等电位联结
多个可导电部分间为达到等电位进行的联结。
2.0.19 保护等电位联结
为了安全目的进行的等电位联结。
2.0.20 功能等电位联结
为保证正常运行进行的等电位联结。
2.0.21 总等电位联结
在保护等电位联结中,将总保护导体、总接地导体或总接地端子、建筑物内的金属管道和可利用的建筑物金属结构等可导电部分连接到一起。
2.0.22 辅助等电位联结
在导电部分间用导线直接连通,使其他电位相等或接近,而实施的保护等电位联结。
2.0.23 局部等电位联结
在一局部范围内将各导电部分连通,而实施的保护等电位联结。
2.0.24 接地故障
带电导体和大地之间意外出现导电通路。
2.0.25 导管
用于绝缘导线或电缆可以从中穿入或更换的圆形断面的部件。
2.0.26 电缆(diànlǎn)槽盒
用于将绝缘导线、电缆、软电线完全包围起来且带有可转移盖子的底座组成的封闭外壳。
2.0.27 电缆托盘
带有连续底盘和侧边,没有盖子的电缆支撑物。
2.0.28 电缆梯架
带有牢固地固定在纵向主支撑组件上的一系列横向支撑构件的电缆支撑物。
2.0.29 电缆支架
仅有一端固定的、间隔安置的水平电缆支撑物。
2.0.30 移动设备
运行时可移动或在与电源相连接时易于由一处移到另一处的电气设备。
2.0.31 手持设备
正常使用时握在手中的电气设备。
2.0.32 开关电器
用于接通或分断电路中电流的电器。
2.0.33 开关
在电路正常的工作条件或过载工作条件下能接通、承载和分断电流,也能在短路等规定的非正常条件下承载电流一定时间的一种机械开关电器。
2.0.34 隔离开关
在断开位置上能满足对隔离器的隔离要求的开关。
2.0.35 隔离电器
具有隔离功能的电器。
2.0.36 断路器
能接通、承载和分断正常电路条件下的电流,也能在短路等规定的非正常条件下接通、承载电流一定时间和分断电流的一种机械开关电器。
2.0.37 矿物绝缘电缆
在同一金属护套内,由经压缩的矿物粉绝缘的一根或数根导体组成的电缆。
3 电器和导体的选择
3.1 电器(diànqì)的选择
3.1.1 低压配电设计所选用的电器, 应符合国家现行的有关产品标准,并应符合下列规定:
1、电器应适应所在场所及其环境条件
2、电器的额定频率应与所在回路的频率相适应:
3、电器的额定电压应与所在回路标称电压相适应;
4、电器的额定电流不应小于所在回路的计算电流;
5、电器应满足短路条件下的动稳定与热稳定的要求;
6、用于断开短路电流的电器应满足短路条件下的接通能力和分断能力。
3.1.2 验算电器在短路条件下的接通能力和分段能力应采用接通或分断时安装处预期短路电流,当短路点附近所接电动机额定电流之和超过短路电流的1%时,应计入电动机反馈电流的影响。
3.1.3 当维护、测试和检修设备需断开电源时,应设置隔离电器。隔离电器宜采用同时断开电源所有极的隔离电器或彼此靠近的单级隔离器。当隔离电器误操作会造成严重事故时,应采取防止误操作的措施。
3.1.4 在TN-C系统中不应将保护接地中性导体隔离,严禁将保护接地中性导体接入开关电器。
3.1.5 隔离电器应符合下列规定:
1、断开触头之间的隔离距离,应可见或能明显标示“闭合”和“断开”状态;
2、隔离电器应能防止意外的闭合:
3、应有防止意外断开隔离电器的锁定措施。
3.1.6 隔离电器应采用下列电器:
1、单极或多极隔离电器、隔离开关或隔离插头;
2、插头与插座;
3、连接片
4、不需要拆除导线的特殊端子;
5、熔断器;
6、具有隔离功能的开关的断路器。
3.1.7 半导体开关(kāiguān)电器,严禁作为隔离电器。
3.1.8 独立控制电气装置的电路的每一部分,均应装设功能性开关电器。
3.1.9 功能性开关电器可采用下列电器:
1、开关
2、半导体开关电器;
3、断路器:
4、接触器;
5、继电器;
6、16A及以下的插头和插座。
3.1.10 隔离器、熔断器和连接片,眼睛作为功能性开关电器。
3.1.11 剩余电流动作保护电器的选择,应符合下列规定:
1、除在TN-S系统中,当中性导体为可靠地地电位时可不断开外,应能断开所保护回路的所有带点导体;
2、剩余电路动作保护电器的额定剩余不动作电流,应大于在负荷正常运行时预期出现的对地泄露电流;
3、剩余电流动作保护电器的类型,应根据接地故障的类型按现行国家标准《剩余电流动作保护电器的一般要求》GB/Z6829的有关规定确定。
3.1.12 采用剩余电流动作保护电器作为间接接触防护电器的回路时,必须装设保护导体。
3.1.13 在TT系统中,除电气装置的电源进线端与保护电器之间的电气装置符合现行国家标准《点击防护装置和设备的通用部分》GB/T17045规定的Ⅱ类设备的要求或绝缘水平与Ⅱ类设备相同外,当仅用一台剩余电流动作保护电器保护电气装置时,应将保护电器布置在电气装置的电源进线端。
3.1.14 在IT系统中,当采用剩余电流动作保护电器保护电气装置,且在第一次故障不断开电路时,其额定剩余不动作电流值不应小于第一次对地故障时流经故障回路的电流。
3.1.15 在符合下列情况时,应选用具有断开中性极的开关电器:
1、有中性导体的IT系统与TT系统或TN系统之间的电源转换开关电器;
2、TT系统中,当负荷侧有中性导体是选用隔离电器;
3、IT系统中,当有中性导体时选用开关电器
3.1.16 在电路中需防止电流流经不期望的路径(lùjìng)时,可选用具有断开中性极的开关电器。
3.1.17 在IT系统中安装的绝缘监测电器,应能连续监测电气装置的绝缘。绝缘监测电器应只有使用钥匙或工具才能改变其整定值,其测试电压和绝缘电阻整定值应符合下列规定:
1 SELV和PELV回路的测试电压应为250V,绝缘电阻整定值应低于0.5MΩ;
2 SELV和PELV回路以外且不高于500V回路的测试电压应为500V,绝缘电阻整定值应低于0.5 MΩ
3 高于500V回路的测试电压应为1000V,绝缘电阻整定值应低于1.0 MΩ
3.2导体的选择
3.2.1 导体的类型应按敷设方式及环境条件选择。 绝缘导体除满足上述条件外,尚应符合工作电压的要求。
3.2.2 选择导体截面,应符合下列要求:
1 按敷设方式及环境条件确定的导体载流量,不应小于计算电流;
2 导体应满足线路保护的要求;
3 导体应满足动稳定与热稳定的要求;
4 线路电压损伤应满足用电设备正常工作及启动时端电压的要求;
5 导体最小截面应满足机械强度的要求。固定敷设的导体最小截面,应根据敷设方式、绝缘子支持点间距和导体材料按表3.3.3的规定确定。
表3.2.2 固定敷设的导体最小截面
| 敷设方式 | 绝缘子支撑点间距(m) | 导体最小截面(mm2) | |
| 铜导体 | 铝导体 | ||
| 裸导体敷设在绝缘子上 | —— | 10 | 16 |
| 绝缘导体敷设在绝缘子上 | ≤2 | 1.5 | 10 |
| >2,且≤6 | 2.5 | 10 | |
| >6,且≤16 | 4 | 10 | |
| >16,且≤25 | 6 | 10 | |
| 绝缘导体穿导管敷设或在槽盒中敷设 | —— | 1.5 | 10 |
6 用于负荷长期稳定的电缆,经技术经济比较确认合理时,可按经济电流密度选择导体(dǎotǐ)截面,且应符合现行国家标准《电力工程电缆设计规范》GB50217的有关规定 。
3.2.3 导体的负荷电流在正常持续运行中产生的温度,不应使绝缘的温度超过表3.2.3的规定。
表3.2.3 各类绝缘最高运行温度(℃)
| 绝缘类型 | 导体的绝缘 | 护套 |
| 聚氯乙烯 | 70 | – |
| 交联氯乙烯和乙丙橡胶 | 9. | – |
| 聚氯乙烯护套矿物绝缘电缆或可触及的裸护套矿物绝缘电缆 | – | 70 |
| 不允许触及和不与可燃物相接处的裸护套矿物绝缘电缆 | – | 105 |
3.2.4 绝缘导体和无铠装电缆的载流量以及载流量的校正系数,应按现行国家标准《建筑物电气装置 第5部分:电气设备的选择和安装 第523节:布线系统载流量》GB/T16895.15的有关规定确定。铠装电缆的载流量以及载流量的校正系数,应按现行国家标准《电力工程电缆设计规范》GB50217de有关规定确定。
3.2.5 绝缘导体或电缆敷设处的环境温度应按表3.2.5的规定。
表3.2.5 绝缘导体或电缆敷设出的环境温度
| 电缆敷设场所 | 有无机械通风 | 选取的环境温度 |
| 土中直埋 | – | 埋深处的最热月平均地温 |
| 水下 | – | 最热月的日最高水温平均值 |
| 户外空气中、电缆沟 | – | 最热月的日最高温度平均值 |
| 有热源设备的厂房 | 有 | 通风设计规范 |
| 无 | 最热月的最高温度平均值另加5℃ | |
| 一般性厂房及其他建筑物内 | 有 | 通风设计温度 |
| 无 | 最热月的日最高温度平均值 | |
| 户内电缆沟 | 无 | 最热月的日最高温度平均值另加5℃ |
| 隧道、电气竖井 | ||
| 隧道、电气竖井 | 有 | 通风设计规范 |
注:数量较多的电缆工作温度大于70℃的电缆敷设于未装机械通风的隧道、电气竖井时,应计入对环境温升的影响,不能直接采取仅加5℃
3.2.6 当电缆沿敷设路径中各场所的散热条件不相同(xiānɡ tónɡ)时,电缆的散热条件应按最不利的场所确定。
3.2.7 符合下列情况之一的线路,中性导体的截面应与相导体的截面相同:
1 单相两线制线路;
2 铜相导体截面小于等于16mm2或铝相导体截面小于等于25 mm2的三相四线线路。
3.2.8 符合下列条件的线路,中性导体截面可小于相导体截面;
1 铜相导体截面大于16 mm2或铝相导体截面大于25 mm2;
2 铜中性导体截面大于等于16 mm2或铝中性导体截面大于等于25 mm2;
3 在正常工作时,包括谐波电流在内的中性导体预期最大电流小于等于中性导体的允许载流量;
4 中性导体已进行了过电流保护。
3.2.9 在三相四线制线路中存在谐波电流时,计算中性导体的电流应计入谐波电流的效应。当中性导体电流大于相导体电流时,电缆相导体截面应按中性导体电流选择。当三相平衡系统中存在谐波电流,4芯或5芯电缆内中性导体与相导体材料相同和截面相等时,电缆载流量的降低系数应按表3.2.9的规定确定。
表3.2.9 电缆载流量的降低系数
| 相电流中三次谐波分量(%) | 降低系数 | |
| 按相电流选择截面 | 按中性导体电流选择截面 | |
| 0~15 | 1.0 | – |
| >15,且≤33 | 0.86 | – |
| >33,且≤45 | – | 0.86 |
| >45 | – | 1.0 |
3.2.10 在配电线路中固定敷设的铜保护接地中性导体的截面积不应小于10mm2,铝保护接地中性导体的截面积不应小于16 mm2。
3.2.11 保护接地中性导体应按预期出现的最高电压进行绝缘。
3.2.12 当从电气系统的某一点起,由保护接地中性导体改变为单独的中性导体和保护导体时,应符合下列规定:
1 保护导体和中性导体应分别设置单独的端子或母线;
2 保护接地中性(zhōngxìng)导体应首先接到为保护导体设置的端子或母线上;
3 中性导体不用连接到电气系统的任何其他的接地部分。
3.2.13 装置外可导电部分严禁作为保护接地中性导体的一部分。
3.2.14 保护导体截面积的选择,应符合下列规定:
1 应能满足电气系统间接接触防护自动切断电源的条件,且能承受预期的故障电流或短路电流;
2 保护导体的截面积应符合式(3.2.14)的要求,或按表3.2.14的规定确定

S—保护导体的截面积(mm2)
I—通过保护电器的预期故障电流或短路电流[交流方均根植(A)];
t—保护电器自动切断电流的动作时间(s);
k—系数,按本规范公式(A.0.1)计算或按表~A.0.6确定。
表3.2.14 保护导体的最小截面积(mm2)
| 相导体截面积 | 保护导体的最小截面积 | |
| 保护导体与相导体使用相同材料 | 保护导体与相导体使用不同材料 | |
| ≤16 | S | ![]() |
| >16,且≤35 | 16 | ![]() |
| >35 | ![]() |
|
注:1 S-相导体截面积;
2 k1-相导体的 系数,应按本规范表A.0.7的规定确定;
3 k2-保护导体的系数,应按本规范表A.0.2~表A.0.6的规定确定。
3 电缆外的保护导体(dǎotǐ)或不与相导体共处于同一外护物内的保护导体,其截面积应符合下列规定:
1)有机械损伤防护时,铜导体不应小于2.5 mm2,铝导体不应小于16 mm2;
2)无机械损伤防护时,铜导体不应小于4 mm2,铝导体不应小于16 mm2。
4 当两个或更多个回路公用一个保护导体时,其截面积应符合下列规定:
1)应根据回路中最严重的预期故障电流或短路电流和动作时间确定截面积,并应符合公式(3.2.14)的要求;
2)对应于回路中的最大相导体截面积时,应按表3.2.14的规定确定。
5 永久性连接的用电设备的保护导体预期电流超过10mA时,保护导体的截面积应按下列条件之一确定:
1)铜导体不应小于10 mm2或铝导体不应小于16 mm2;
2)当保护导体小于本款第1项规定时,应为用电设备敷设第二根保护导体,其截面积不应小于第一根保护导体的截面积。第二根保护导体应一直敷设到截面积大于等于10 mm2的铜保护导体或16 mm2的铝保护导体处,并应为用电设备的第二根保护导体设置单独的接线端子;
3)当铜保护导体与铜相导体在一根多芯电缆中时,电缆中所有铜导体截面积的总和不应小于10 mm2;
4)当保护导体安装在金属导管内并与金属导管并接时,应采用截面积大于等于2.5 mm2的铜导体。
3.2.15 总等电位联结用保护联结导体的截面积,不应小于配电线路的最大保护导体截面积的1/2,保护联结导体截面积的最小值和最大值应符合表3.2.15的规定。
表3.2.15 保护联结导体截面积的最小值和最大值(mm2)
| 导体材料 | 最小值 | 最大值 |
| 铜 | 6 | 25 |
| 铝 | 16 | 按载流量与25 mm2铜导体的载流量相同确定 |
| 钢 | 50 |
3.2.16 辅助等电位联结用保护联结导体截面积的选择,应符合下列规定:
1 联结两个外露可导电部分的保护联结导体,其电导体不应小于接到外露可导电部分的较小的保护导体的电导;
2 联结外露可导电部分和装置外可导电部分的保护(bǎohù)联结导体,其电导不应小于相应保护导体截面积1/2的导体所具有的电导;
3 单独敷设的保护联结导体,其截面积应符合本规范第3.2.14条第3款的规定。
3.2.17 局部等电位联结用保护联结导体截面积的选择,应符合下列规定:
1 保护联结导体的电导不应小于局部场所内最大保护导体截面积1/2的导体所具有的电导;
2 保护联结导体采用铜导体时,其截面积最大值为25 mm2。保护联结导体为其他金属导体时,其截面积最大值应按其与25 mm2铜导体的载流量相同确定;
3 单独敷设的保护联结导体,其截面积应符合本规范地3.2.14条第3款的规定。
4 配电设备的布置
4.1 一般规定
4.1.1 配电室的位置应靠近用电负荷中心,设置在尘埃少、 腐蚀介质少、周围环境干燥和无剧烈震动的场所,并宜留有发展余地。
4.1.2 配电设备的布置必须遵循安全、可靠、 适用和经济等原则,并应便于安装、操作、搬运(bānyùn)、检修、试验和监测。
4.1.3 配电室内除本室需用的管道外,不应有其它的管道通过。室内水、汽管道上不应设置阀门和中间接头;水、汽管道与散热器的连接应采用焊接,并应做等电位联结。配电屏的上、方及电缆沟内不应敷设水、汽管道。
4.2 配电设备布置中的安全措施
4.2.1落地式配电箱的底部宜抬高,高出地面的高度室内不应低于50mm,,室外不应低于200mm;其底座周围应采取封闭措施,并应能防止鼠、蛇类等小动物进入箱内。
4.2.2 同一配电室内相邻的两段母线,当任一段母线有一级负荷时,相邻的两端母线之间应采取防火措施
4.2.3 高压及低压配电设备设在同一室内, 且两者有一侧柜有裸露的母线时,两者之间的净距不应小于2m。
4.2.4成排布置的配电屏,其长度超过6m时, 屏后的通道应设2个出口,并宜布置在通道的两端,当两出口之间的距离超过15m时,其间尚应增加出口。
4.2.5当防护等级不低于现行国家标准《外壳防护等级(IP代码)》GB4208规定的IP2X级时,成排布置的配电屏通道最小宽度应符合表4.2.5的规定。
表4.2.5成排布置的配电屏通道最小宽度(m)
| 配电屏 | 单配布置 | 双排面对面布置 | 双排背对背布置 | 多排同向布置 | 屏侧通道 | |||||||||
| 屏前 | 屏后 | 屏前 | 屏后 | 屏前 | 屏后 | 屏间 | 前、后排屏距墙 | |||||||
| 维护 | 操作 | 维护 | 操作 | 维护 | 操作 | 前排屏前 | 后排屏后 | |||||||
| 固定式 | 不受 限制时 | 1.5 | 1.1 | 1.2 | 2.1 | 1 | 1.2 | 1.5 | 1.5 | 2.0 | 2.0 | 1.5 | 1.0 | 1.0 |
| 受限制时 | 1.3 | 0.8 | 1.2 | 1.8 | 0.8 | 1.2 | 1.3 | 1.3 | 2.0 | 1.8 | 1.3 | 0.8 | 0.8 | |
| 抽屉式 | 不受 限制时 | 1.8 | 1.0 | 1.2 | 2.3 | 1.0 | 1.2 | 1.8 | 1.0 | 2.0 | 2.3 | 1.8 | 1.0 | 1.0 |
| 受限制时 | 1.6 | 0.8 | 1.2 | 2.1 | 0.8 | 1.2 | 1.6 | 0.8 | 2.0 | 2.1 | 1.6 | 0.8 | 0.8 | |
注:1.受限制时是指受到建筑平面(píngmiàn)的限制、通道内有柱等局部突出物的限制;
2.屏后操作通道是指需在屏后操作运行中的开关设备的通道;;
3.背靠背布置时屏前通道宽度可按本表中双排背对背布置的屏前尺寸确定;
4 控制屏、控制柜、落地式动力配电箱前后的通道最小宽度可按本表确定;
5 挂墙式配电箱的箱前操作通道宽度,不宜小于1m.
4.2.6 配电室通道上方裸带电体距地面的高度不应低于2.5m;当低于2.5m时,应设置不低于现行国家标准《外壳防护等级(IP代码)》GB4208的规定的IP××B级或IP2×级的遮拦或外护物,遮拦或外护物底部距地面的高度不应低于2.2m。
4.3 对建筑物的要求
4.3.1 配电室屋顶承重构件的耐火等级不应低于二级,其他部分不应低于三级。当配电室与其他场所毗邻时,门的耐火等级应按两者中耐火等级高的确定。
4.3.2 配电室长度超过7m时,应设2个出口,并宜布置在配电室两端。当配电室双层布置时,楼上配电室的出口应至少设一个通向该层走廊或室外的安全出口。配电室的门均应向外开启,但通向高压配电室的门应为双向开启门。
4.3.3 配电室的顶棚、墙面及地面的建筑装修,应使用不易积灰和不易起灰的材料;顶棚不应抹灰。
4.3.4 配电室内的电缆沟,应采取防水盒排水措施(cuòshī)。配电室的地面宜高出本层地面50mm或设置防水门槛。
4.3.5 当严寒地区冬季室温影响设备正常工作时,配电室应采暖。夏热地区的配电室,还应根据地区气候情况采取隔热、通风或空调等降温措施。有人值班的配电室,宜采用自然采光。在值班人员休息间内宜设给水、排水设施。附近无厕所时宜设厕所。
4.3.6 位于地下室和楼层内的配电室,应设设备运输通道,并应设有通风和照明设施。
4.3.7 配电室的门、窗关闭应密合;与室外相通的洞、通风孔应设防止鼠、蛇类等小动物进入网罩,其防护等级不宜低于现行国家标准《外壳防护等级(IP代码)GB4208规定的IP3X级。直接与室外露天相通的通风孔尚应采取防止雨\雪飘入的措施。
4.3.8 配电室不宜设在建筑物地下室最底层。设在地下室最底层时,应采取防止水进入配电室内的措施。
5 电气装置的电击防护
5.1 直接接触(jiēchù)防护措施
(Ⅰ)将带电部分绝缘
5.1.1 带电部分应全部用绝缘层覆盖,其绝缘层应能长期承受在运行中遇到的机械、化学、电气及热的各种不利影响。
(Ⅱ)采用遮栏或外护物
5.1.2 标称电压超过交流方均根植25V容易被触及的裸带电体,应设置遮栏或外护物。其防护等级不应低于现行国家标准《外壳防护等级(IP代码)》GB4208规定的IP××B级或IP2×级。为更换灯头、插座或熔断器之类部件,或为实现设备的正常功能所需的开孔,在采取了下列两项措施后除外:
1 设置防止人、畜意外触及带电部分的防护措施;
2 在可能触及带电部分的开孔处,设置“禁止触及”的标志。
5.1.3 可触及的遮栏或外护物的顶面,其防护等级不应低于现行国家标准《外壳防护等级(IP代码)》GB4208规定的IP××D级或IP4×级。
5.1.4 遮栏或外护物应稳定、耐久、可靠地固定。
5.1.5 需要移动的遮栏以及需要打开或拆下部件的外护物,应采用下列防护措施之一:
1 只有使用钥匙或其他工具才能移动、打开、拆下遮栏或外护物;
2 将遮栏或外护物所保护的带电部分的电源切断后,只有在重新放回或重新关闭遮栏或外护物后才能恢复供电;
3 设置防护等级不低于现行国家标准《外壳防护等级(IP代码)》GB4208规定的IP××B级或IP2×级的中间遮栏,并应能防止触及带电部分且只有石油钥匙或工具才能移开。
5.1.6 按本规范第5.1.2条设置的遮栏或外护物与裸带电体之间的净距,应符合下列规定:
1 采用网状遮栏或外护物时,不应小于100mm;
2 采用板状遮栏或外护物时,不应小于50mm。
(Ⅲ)采用阻挡物
5.1.7 当裸带电体采用遮栏或外护物防护有困难时,在电器专用房间或区域宜采用栏杆或网状屏障等阻挡物进行防护,阻挡物应能防止人体无意识的接近裸带电体和在操作设备过程中人体无意识的触及裸带电体。
5.1.8 阻挡物应适当固定,但可以(kěyǐ)不用钥匙或工具将其移开。
5.1.9 采用防护的国际低于现行国家标准《外壳防护等级(IP代码)》GB4208规定的IP××B级或IP2×级的阻挡物时,阻挡物与裸带电体的水平净距不应小于1.25mm,阻挡物的高度不应小于1.4m。
(Ⅳ)置于伸臂范围之外
5.1.10 在电气专用房间或区域,不采用防护等级等于高于现行国家标准《外壳防护等级(IP代码)》GB4208规定的IP××B级或IP2×级的遮栏、外护物或阻挡物时,应将人可能无意识同时触及的不同电位的可导电部分置于伸臂范围之外。
5.1.11 伸臂范围(5.1.11)应符合下列规定:
1 裸带电体布置在有人活动的区域上方时,其与平台或地面的垂直净距不应小于2.5m;
2 裸带电体布置在有人活动的平台侧面时,其与平台边缘的水平净距不应小于1.25m;
3 裸带电体布置在有人活动的平台下方时,其与平台下方的垂直净距不应小于1.25m,且与平台边缘的水平净距不应小于0.75m;
4 裸带电体的水平方向的阻挡物、遮栏或外护物,其防护等级低于现行国家标准《外壳防护等级(IP代码)》GB4208规定的IP××B级或IP2×级时,伸臂范围应从阻挡物、遮栏或外护物算起;
5 在有人活动区域上方的裸带电体的阻挡物、遮栏或外护物,其防护等级低于现行国家标准《外壳防护等级(IP代码)》GB4208规定的IP××B级或IP2×级时,伸臂范围2.5m应从人所在地面算起;
6 人手持大的或长的导电物体时,伸臂范围应计及该物体的尺寸。
图5.1.11 伸臂范围(fànwéi)(m)
(Ⅴ)用剩余电流动作保护器的附加保护
5.1.12 额定剩余动作电流不超过30mA剩余电流动作保护器,可作为其他直接接触防护措施失效或使用者疏忽时的附加防护,但不能单独作为直接接触防护措施。
5.2 间接接触防护的自动切断电源的防护措施
(Ⅰ)一般规定
5.2.1 对于未按现行国家标准《建筑物电气装置 第4-41部分:安全防护 电击防护》GB16895.21的规定采用下列间接接触防护措施者,应采用本节所规定的防护措施:
1 采用II类设备;
2 采取电气分隔措施;
3 采用特低电压供电;
4 将电气设备安装在非导电场所内;
5 设置不接地的等电位联结。
5.2.2 在使用I类设备、预期接触电压限值为50V的场所,当回路或设备中发生带电导体与外露可导电部分或保护导体之间的故障时,间接接触防护电器应能在预期接触电压超过50V且持续时间足以引起对人体有害的病理生理效应前自动切断该回路或设备的电源。
5.2.3 电气装置的外露可导电部分,应与保护导体连接。
5.2.4 建筑物内的总等电位联结,应符合下列规定:
1 每个建筑物中的下列可导电部分,应做总等电位联结:
1)总保护导体(保护导体、保护接地中性导体);
2)电气装置总接地导体或总接地端子排;
3)建筑物内的水管、燃气管、采暖和空调管道等各种金属干管;
4)可接用的建筑物金属结构部分。
2 来自外部的本条第1款规定(guīdìng)的可导电部分,应在建筑物内距离引入点最近的地方做总等电位联结。
3 总等电位联结导体,应符合本规范第3.2.15条~第3.2.17条的有关规定。
4 通信电缆的金属外护层在做等电位联结时,应征得相关部门的同意。
5.2.5 当电气装置或电气装置某一部分发生接地故障后间接接触的保护电器不能满足自动切断电源的要求是,尚应在局部范围内将本规范第5.2.4条第1款所列可导电部分再做一次局部等电位联结;亦可将伸臂范围内能同时触及的两个可导电部分之间做辅助等电位联结。局部等电位联结或辅助等电位联结的有效性,应符合下式的要求:

式中:R—可同时触及的外露可导电部分和装置外可导电部分之间,故障电流产生的电压降引起接触电压的一段线路的电阻(Ω);
Ia——保证间接接触保护电器在规定时间内切断故障回路的动作电流(A)。
5.2.6 配电线路间接接触防护的上下级保护电器的动作特性之间应有选择性。
(Ⅱ)TN系统
5.2.7 TN系统中电气装置的所有外露可导电部分,应通过保护导体与电源系统的接地点连接。
5.2.8 TN系统中配电线路的间接接触防护电器的动作特性,应符合下式的要求:
(5.2.8)
式中:Zs——接地故障回路的阻抗(Ω);
Ia——相导体对地标称电压(V)。
5.2.9 TN系统中配电线路的间接接触防护电器切断故障回路的时间,应符合下列规定:
1 配电线路或仅供给固定式电气设备用电技术的末端线路,不宜大于5s;
2 供给手持式电气设备和移动式电气设备用电的末端线路或插座回路,TN系统的最长切断时间不应大于表5.2.9的规定。
表5.2.9 TN系统的最长切断时间
| 相导体对地标称电压(V) | 切断时间(s) |
| 220 | 0.4 |
| 380 | 0.2 |
| >380 | 0.1 |
5.2.10 在TN系统中,当配电(pèi diàn)箱或配电回路同时直接或间接给固定式、手持式和移动式电气设备供电时,应采取下列措施之一:
1 应使配电箱至总等电位联结点之间的一段保护导体的阻抗符合下式的要求:
(5.2.10)
式中:ZL——配电箱至总等电位联结点之间的一段保护导体的阻抗(Ω)。
2 应将配电箱内保护导体母排与该局部范围内的装置外可导电部分做局部等电位联结或按本规范第5.2.5条的有关要求做辅助等电位联结。
5.2.11 当TN系统相导体与无等电位联结作用的地之间发生接地故障时,为是保护导体和与之连接的外露可导电部分的对地电压不超过50V,其接地电阻的比值应符合下式的要求:

(5.2.11)
式中:RB——所有与系统接地极并联的接地电阻(Ω);
RE——相导体与大地之间的接地电阻(Ω)。
5.2.12 当不符合本规范公司(5.2.11)的要求时,应补充其他有效的间接接触防护措施,或采用局部TT系统。
5.2.13 TN系统中,配电线路采用过电流保护电器兼作间接接地防护电器时,其动作特性应符合本规范第5.2.8条的规定;当不符合规定时,应采用剩余电流动作保护电器。
(Ⅲ)TT系统
5.2.14 TT系统中,配电线路内有同一间接接触防护电器保护的外露可导电部分,应用保护导体连接至共用或各自的接地极上。当有多级保护时,各级应有各自的或共同的接地极。
5.2.15 TT系统配电线路间接接触防护电器的动作特性,应符合下式的要求:
RAIa≤50V (5.2.15)
式中:RA——外露可导电(dǎodiàn)部分的接地电阻和保护导体电阻之和(Ω)
5.2.16 TT系统中,间接接触防护的保护电器切断故障回路的动作电流,应采用熔断器时,应为保证熔断器在5s内切断故障回路的电流;当采用断路器时,应为保证断路器瞬时切断故障回路的电流;当采用剩余电流保护电器时,应为额定剩余动作电流。
5.2.17 TT系统中,配电线路间接接触防护电器的动作特性不符合本规范第5.2.15条的规定时,应按本规范第5.2.5条的桂东做局部等电位联结或辅助等电位联结。
5.2.18 TT系统中,配电线路的间接接触防护的保护电器应采用剩余电流动作保护电器或过电流保护电器。
(Ⅳ)系统
5.2.19 在IT系统的配电线路中,当发生第一次接地故障时,应发出报警信号,且故障电流应符合下式的要求:
RA Id ≤50V (5.2.19)
式中:Id——相导体和外露可导电部分间第一次接地故障的故障电流(A),此值应计及泄露电流和电气装置全部接地阻抗值的影响。
5.2.20 IT系统应设置绝缘监测器。当发生第一次接地故障或绝缘电阻低于规定的整定值时,应有绝缘监测器发出音响和灯光信号,且灯光信号应持续到故障消除。
5.2.21 IT系统的外露可导电部分可采用共同的接地极接地,亦可个别或成组地采用单独的接地极接地,并应符合下列规定:
1 当外露可导电部分为共同接地,发生第二次接地故障时,故障回路的切断应符合本规范规定的TN系统自动切断电源的要求;
2 当外露可导电部分单独或成组地接地,发生(fāshēng)第二次接地故障时,故障回路的切断应符合本规范的TT系统自动切断电源的要求。
5.2.22 IT系统不宜配出中性导体。
5.2.23 在IT系统的配电线路中,当发生第二次接地故障时,故障回路的最长切断时间不应大于表5.2.23的规定。
表5.2.23 IT系统第二次故障时最长切断时间
| 相对地标称电压/ 相间标称电压 | 切断时间 | |
| 没有中性导体配出 | 有中性导体配出 | |
| 220/380 | 0.4 | 0.8 |
| 380/660 | 0.2 | 0.4 |
| 580/1000 | 0.1 | 0.2 |
5.2.24 IT系统的配电线路符合本规范第5.2.21条第款规定时,应有过电流保护电器或剩余电流保护器切断故障回路,并应符合下式的规定:
1 当IT系统不配出中性导体时,保护电器动作特性应符合下式的要求:

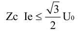
2 当IT系统配出中性导体时,保护电器动作特性应符合下式的要求:

式中:Zc——包括相导体和保护导体的故障回路的阻抗(Ω);
Zd——包括相导体、中性导体和保护导体的故障回路的阻抗(Ω);
Ie——保证保护电器在表5.2.23规定的时间或其他回路允许的5s内切断故障回路的电流(A)。
5.3 SELV系统和PELV系统级FELV系统
(Ⅰ)SELV系统(xìtǒng)和PELV系统
5.3.1 直接接触防护的措施和间接接触防护的措施,除本规范第5.1节和第5.2节规定的防护措施外,亦可采用SELV系统和PELV系统作为防护措施。
5.3.2 SELV系统和PELV系统的标称电压不应超过交流方均根值50V。当系统由自耦变压器、分压器或半导体器件等设备从高于50V电压系统供电时,应对输入回路采取保护措施。特殊装置或场所的电压限值,应符合现行国家标准《建筑物电气装置》CB16895系列标准中的有关标准的规定。
5.3.3 SELV系统和PELV系统的电源,应符合下列要求之一:
1 有符合现行国家标准《隔离变压器和安全隔离变压器 技术要求》GB13028的安全隔离变压器供电;
2 具备与本条第1款规定的安全隔离变压器有同等安全程度的电源;
3 电化学电源或与高于交流方均根值50V电压的回路无关的其他电源。
4 符合相应标准,而且即使内部发生故障也保证能使出线端子的电压不超过交流方均根值50V的电子器件构成的电源。当发生直接接触和间接接触时,电子器件能保证出线端子的电压立即降低等于小于交流方均根值50V时,出线端子的电压可高于交流方均根值50V的电压。
5.3.4 SELV系统和PELV系统的安全隔离变压器或电动发电机等移动式安全电源,应达到Ⅱ类设备或与Ⅱ类设备等效绝缘的防护要求。
5.3.5 SELV系统和PELV系统回路的带电部分相互之间及与其他回路之间,应进行电气分隔,且不应低于安全隔离变压器的输入和输出回路之间的隔离要求。
5.3.6 每个SELV系统和PELV系统的回路导体,应与其他回路导体分开布置。当不能分开布置时,应采取下列措施之一:
1 SELV系统和PELV系统的回路导体应做基本绝缘,并应将其封闭在非金属护套内;
2 不用的电压的回路导体,应用接地的金属屏蔽或接地的金属护套隔开;
3 不用电压的回路可包含在一个多芯电缆或导体组内,但SELV系统和PELV系统的回路导体应单独(dāndú)或集中按其中最高电压绝缘。
5.3.7 SELV系统的回路带电部分严禁与地、其他回路的带电部分或保护导体相连接,并应符合下列要求:
1 设备的外露可导电部分不应与下列部分连接:
1)地;
2)其他回路的保护导体或外露可导电部分;
3)装置外可导电部分。
2 电气设备因功能的要求与装置外可导电部分连接时,应采取保证这种连接的电压不会高于交流方均根值50V的措施。
3 SELV系统回路的外露可导电部分有可能接触其他回路的外露可导电部分时,其电击防护除依靠SELV系统的保护外,尚应依靠可能被接触的其他回路的外露可导电部分所采取的保护措施。
5.3.8 SELV系统,当标称电压超过交流方均根值25V时,直接接触防护应采取下列措施之一:
1 设置防护等级不低于现行国家标准《外壳防护等级(IP代码)》GB4208规定的IP××B级或IP2×级的遮栏或外护物;
2 采用能承受交流方均根值500V、时间为1min的电压耐受实验的绝缘。
5.3.9 当SELV系统的标称电压不超过交流方均根值25V时,除国家现行有关标准另有规定外,可不设直接接触防护。
5.3.10 PELV系统的直接接触防护,应采用本规范第5.3.8条的措施。当建筑物内外已设置总等电位联结,PELV系统的接地配置和外露可导电部分已用保护导体连接到总接地端子上,且符合下列条件时,可采取直接接触防护措施:
1 设备在干燥场所使用,预计人体不会(bù huì)大面积触及带电部分并且标称电压不超过交流方均根植25V;
2 在其他情况下,标称电压不超过交流方均根值6V。
5.3.11 SELV系统的插头和插座,应符合下列规定:
1 插头不应插入其他电压系统的插座;
2 其他电压系统的插头应不能插入插座;
3 插座应无保护导体的插孔。
5.3.12 PELV系统的插头和插座,应符合本规范第5.3.11条的第1款和第2款的要求。
(Ⅱ)FELV系统
5.3.13 当不必要采用SELV系统和PELV系统保护或因功能上的原因使用了标称电压小于等于交流方均根值50V的电压,但本规范第5.3.1≈第5.3.12条的规定不能完全满足其要求时,可采用FELV系统。
5.3.14 FELV系统的直接接触防护,应采取下列措施之一:
1 应装设符合本规范第5.1节(Ⅱ)要求的遮栏或外护物;
2 应采用与一次回路所要求的最低实验电压相当的绝缘。
5.3.15 当属于FELV系统的一部分的设备绝缘不能耐受一次回路所要求的实验电压时,设备可接近的非导电部分的绝缘应加强,且应使其能耐受交流方均根值为1500V、时间为1min的实验电压。
5.3.16 FELV系统的间接接触防护,应采取下列措施之一:
1 当一次回路采用自动切断电源的防护措施时,应将FELV系统中的设备外露可导电部分与一次回路的保护导体连接,此时不排除FELV系统中的带电导体与该一次回路保护导体的连接;
2 当一次回路采用电气分隔防护时,应将FELV系统中的设备外露可导电部分与一次回路的不接地等电位联结导体连接。
5.3.17 FELV系统的插头和插座,应符合本规范第5.3.11条第1款、第2款的规定。
6 配电线路的保护
6.1 一般(yībān)规定
6.1.1 配电线路应装设短路保护和过负荷保护。
6.1.2 配电线路装设的上下级保护电器,其动作特性应具有选择性,且各级之间应能协调配合。非重要负荷的保护电器,可采用的、部分选择性或无选择性切断。
6.1.3 用电设备末端配电线路的保护,除应符合本规范的规定外,尚应符合现行国家标准《通用用电设备配电设计规范》CB50055的有关规定。
6.1.4 除当回路相导体的保护装置能保护中性导体的短路,而且正常工作时通过中性导体的最大电流小于其载流量外,尚应采取当中性导体出现过电流时能自动切断相导体的措施
6.2 短路保护
6.2.1 配电线路的短路保护电器,应在短路电流对导体和联结处产生的热作用和机械作用造成危害之前切断电源。
6.2.2 短路保护电器,应能分断其安装处的预期短路电流。预期短路电流,应通过计算或测量确定。当短路保护电器的分断能力小于其安装处预期短路电流时,在该段线路的上一级应装设具有所需分断能力的短路保护电器;其上下两级的短路保护电器的动作特性应配合,使该段线路及其短路保护器能承受通过的短路能量。
6.2.3 绝缘导体的热稳定,应按其截面积校验,且应符合下列规定:
1 当短路持续时间小于等于5s时,绝缘导体的截面积应符合本规范公司(3.2.14)的要求,其相导体的系数可按本规范表A.0.7的规定确定;
2 短路持续时间小于0.1s时,校验绝缘导体截面积应计入短路电流非周期分量的影响,大于5s时,校验绝缘导体截面积应计入散热的影响;
6.2.4 当短路保护电器为断路器时,被保护线路末端的短路电流(diànliú)不应小于断路器瞬时或短延时过电流脱扣器整定电流的1.3倍。
6.2.5 短路保护电器应装设在回路首端和回路导体载流量减小的地方。当不能设置在回路导体载流量减小的地方时,应采用下列措施:
1 短路保护电器至回路导体载流量减小处的这一段线路长度,不应超过3m‘
2 应采取将该段线路的短路危险减至最小的措施;
3 该段线路不应靠近可燃物。
6.2.6 导体载流量减小处回路的短路保护,当离短路点最近的绝缘导体的热稳定和上一级短路保护电器符合本规范第6.2.3条、第6.2.4条的规定时,该段回路可不装设短路保护电器,但应敷设在不燃或难燃材料的管、槽内。
6.2.7 下列连接线或回路,当在布线时采取了防止机械损伤等保护措施,且布线不靠近可燃物时,可不装设短路保护电器:
1 发电机、变压器、整流器、蓄电池与配电控制屏之间的连接线;
2 断电比短路导致的线路烧毁更危险的旋转电机励磁回路、起重电磁铁的供电回路、电流互感器的二次回路等;
3 测量回路。
6.2.8 并联导体组成的回路,任一导体在最不利的位置处发生短路故障时,短路保护电器应能立即可靠切断该段故障线路,其短路保护电器的装设,应符合下列规定:
1 当符合下列条件时,可采用一个短路保护电器:
布线时所有并联导体采用了防止机械损伤等保护措施;
导体不靠近可燃物。
2 两根导体并联的线路,当不能满足本条第1款条件时,在每根并联导体的供电端应装设短路保护电器。
3 超过两根导体的并联线路,当不能满足本条第1款条件时,在每根并联导体的供电端和负荷端均应装设短路保护(bǎohù)电器。
6.3 过负荷保护
6.3.1 配电线路的过负荷保护,应在过负荷电流引起的导体温升对导体的绝缘、接头、端子或导体周围的物质造成损害之前的切断电源。
6.3.2 过负荷保护电器宜采用反时限特性的保护电器,其分断能力可低于保护电器安装处的短路电流值,但应能承受通过的短路能量。
6.3.3 过负荷保护电器的动作特性,应符合下列公式的要求:
IB≤In≤Iz (6.3.3-1)
I2≤1.45Iz (6.3.3-2)
式中:IB——回路计算电流(A);
In——熔断器熔体额定电流或断路器额定电流或整定电流(A);
Iz ——导体允许持续载流量(A);
I2——保证保护电器可靠动作的电流(A)。当保护电器为断路器时,I2为约定时间内的约定动作电流;当为熔断器时,I2为约定时间内的约定熔断电流。
6.3.4 过负荷保护电器,应装设在回路首端或导体载流量减小处。当过负荷保护电器与回路导体载流量减小处之间的这一段线路没有引出分支线路或插座回路,且符合下列条件之一是,过负荷保护电器可在该段回路任意处装设:
1 过负荷保护电器与回路导体载流量减小处的距离不超过3m,该段线路采取了防止机械损伤等保护措施,且不靠近可燃物;
2 该段线路的短路保护符合本规范第6.2节的规定。
6.3.5 除火灾危险、爆炸危险场所及其他有规定的特殊装置和场所外,符合下列条件之一的配电线路,可不装设过负荷保护电器:
1 回路中载流量减小的导体(dǎotǐ),当其过负荷时,上一级过负荷保护电器能有效保护该段导体;
2 不可能过负荷的线路,且该段线路的短路保护符合本规范第6.2节的规定,并没有分支线路或出线插座;
3 用于通信、控制、信号及类似装置的线路;
4 即使过负荷也不会发生危险的直埋电缆或架空线路。
6.3.6 过负荷断电将引起严重后果的线路,其过负荷保护不应切断线路,可作用于信号。
6.3.7 多根并联导体组成的回路采用一个过负荷保护电器时,其线路的允许持续载流量,可按每根并联导体的允许持续载流量之和,且符合下列规定:
1 导体的型号、截面、长度和敷设方式均相同;
2 线路全长内无分支线路引出;
3 线路的布置使各并联导体的负载电流基本相等。
6.4 配电线路电气火灾保护
6.4.1 当建筑物配电系统符合下列情况时,宜设置剩余电流监测或保护电器,其应动作于信号或切断电源:
1 配电线路绝缘损坏时,可能出现接地故障;
2 接地故障产生的接地电弧,可能引起火灾危险。
6.4.2 剩余电流监测或保护电器的安装位置,应能使其全面监视有起火危险的配电线路的绝缘情况。
6.4.3 为减少接地故障引起的电气火灾危险而装设的剩余电流监测或保护电器,其动作电流不应小于300mA;当动作于切断电源时,应断开回路的所有带电导体。
7 配电线路(xiànlù)的敷设
7.1 一般规定
7.1.1 配电线路的敷设,应符合下列条件:
1 与场所环境的特征相适应;
2 与建筑物和构筑物的特征相适应;
3 能承受短路可能出现的机电应力;
4 能承受安装期间或运行中布线可能遭受的其他应力和导线的自重。
7.1.2 配电线路的敷设环境,应符合下列规定:
1 应避免由外部热源产生的热效应带来的损害;
2 应防止在使用过程中因水的侵入或因进入固体物带来的损害;
3 应防止外部的机械性损害;
4 在有大量灰尘的场所,应避免由于灰尘聚集在布线上对散热带来的影响;
5 应避免由于强烈日光辐射带来的损害;
6 应避免腐蚀或污染物存在的场所对布线系统带来的损害;
7 应避免有植物和(或)霉菌衍生存在的场所对布线系统带来的损害;
8 应避免有动物的情况对布线系统带来的损害。
7.1.3 除下列回路的线路可穿在同一根导管内外,其他回路的线路不应穿于同一根导管内。
1 同一设备或同一流水作业线设备的电力回路和无防干扰要求的控制回路;
2 穿在同一管内绝缘导线总数不超过8根,且为同一照明灯具的几个回路或同类照明的几个回路。
7.1.4 在同一个槽盒里有几个回路时,其所有的绝缘导线应采用与最高标称电压回路绝缘相同的绝缘。
7.1.5 电缆敷设的防火封堵,应符合下列规定:
1 布线系统通过地板、墙壁、屋顶、天花板、隔墙等建筑构件时,其孔隙应按等同建筑构件耐火等级的规定封堵;
2 电缆敷设采用的导管和槽盒材料,应符合现行国家标准《电气安装用电缆槽管系统 第1部分:通用要求》GB/T 19215.1、《电气安装用电缆槽管系统 第2部分:特殊要求 第1节:用于安装在墙上或天花板上的电缆槽管系统》GB/T 19215.2和《电气安装用导管系统 第1部分:通用要求》GB/T 20041.1规定的耐燃试验要求,当导管和槽盒内部截面积等于大于710mm2 时,应从内部封堵;
3 电缆防火封堵的材料,应按耐火等级要求,采用防火胶泥、耐火隔板(ɡé bǎn)、填料阻火包或防火帽;
4 电缆防火封堵的结构,应满足按等效工程条件下标准试验的耐火极限。
7.2绝缘导线布线
(Ⅰ)直敷布线
7.2.1 正常环境的屋内场所除建筑物顶棚及地沟内外,可采用直敷布线,并应符合下列规定:
1 直敷布线应采用护套绝缘导线,其截面积不宜大于6mm2;
2 护套绝缘导线至地面的最小距离应符合表7.2.1的规定;
3 当导线垂直敷设时,距离地面低于1.8m段的导线,应用导管保护;
表7.2.1 护套绝缘导线至地面的最小距离(m)
| 布线方式 | 最小距离 | |
| 水平敷设 | 屋内 | 2.5 |
| 屋外 | 2.7 | |
| 垂直敷设 | 屋内 | 1.8 |
| 屋外 | 2.7 | |
4 导线与接地导体及不发热的管道紧贴交叉时,应用绝缘管保护;敷设在易受机械损伤的场所应用钢管保护;
5 不应将导线直接埋入墙壁、顶棚的抹灰层内。
(Ⅱ)瓷夹、塑料线夹、鼓形绝缘子、针式绝缘子布线
7.2.2 正常环境的屋内场所和挑檐下的屋外场所,可采用瓷夹或塑料线夹布线 。
7.2.3 采用瓷夹、塑料线夹、鼓形绝缘子和针式绝缘子在屋内、屋外布线时,其导线至地面的距离,应符合本规范表7.2.1的规定。
7.2.4 采用鼓形绝缘子和针式绝缘子在屋内、屋外布线时,其导线(dǎoxiàn)最小间距,应符合表7.2.4的规定。
表7.2.4 屋内、屋外布线的导线最小间距
| 支持点间距(m) | 导线最小间距(mm) | |
| 屋内布线 | 屋外布线 | |
| ≤1.5 | 50 | 100 |
| >1.5,且≤3 | 75 | 100 |
| >3,且≤6 | 100 | 150 |
| >6,且≤10 | 150 | 200 |
7.2.5 导线明敷在屋内高温辐射或对导线有腐蚀的场所时,导线之间及导线至建筑物表面的最小净距应符合表7.2.5的规定。
表7.2.5 导线之间导线至建筑物表面的最小净距
| 固定点间距(m) | 最小净距(mm) |
| ≤1.5 | 75 |
| >1.5,且≤3 | 100 |
| >3,且≤6 | 150 |
| >6 | 200 |
7.2.6 屋外布线的导线至建筑物的最小间距,应符合表7.2.6的规定。
表7.2.6 导线至建筑物的最小间距(mm)
| 布线方式 | 最小间距 | |
| 水平敷设时的垂直间距 | 在阳台、平台上和跨越建筑物顶 | 2500 |
| 在窗户上 | 200 | |
| 在窗户下 | 800 | |
| 垂直敷设时至阳台、窗户的水平间距 | 600 | |
| 导线至墙壁和构架的间距(挑檐下除外) | 35 | |
(Ⅲ)金属导管和金属槽盒布线
7.2.7 对金属导管、金属槽盒有严重腐蚀的场所,不宜采用金属导管、金属槽盒布线。
7.2.8 在建筑物闷顶内有可燃物时,应采用金属导管、金属槽盒布线。
7.2.9 同一回路的所有相线和中性线,应敷设在同一金属槽盒内或穿于同一根金属导管内。
7.2.10 暗敷于干燥场所的金属导管布线,金属导管的管壁厚度不应小于1.5mm;名敷于潮湿场所或直接埋于素土内的金属导管布线,金属导管应符合现行国家标准《电气安装用导管系统 第1部分:通用要求》GB/T20041.1或《低压流体输送用焊接钢管》GB/T3091的有关规定;当金属导管有机械外压力时,金属导管应符合现行国家标准《电气安装用导管系统 第1部分:通用要求》GB/T20041.1中耐压分类为中型、重型及超重型的金属导管的规定。
7.2.11 金属导管和金属槽盒敷设时,应符合(fúhé)下列规定:
1 与热水管、蒸汽管同侧敷设时,应敷设在热水管、蒸汽管下方。当有困难时,亦可敷设在热水管、蒸汽管上方,其净距应符合下列要求:
1 )敷设在热水管下方时,不宜小于0.2m;在上方时,不宜小于0.3m;
2 )敷设在蒸汽管下方时,不宜小于0.5m;在上方时,不宜小于1.0m;
对有保温措施的热水管、蒸汽管,其净距不宜小于0.2m。
2 当不能符合本条第1款要求是,因采取隔热措施。
3 与其他管道的平行净距不应小于0.1m。
4 当与水管同侧敷设时,宜将金属导管与金属槽盒敷设在水管的上方。
5 管线互相交叉时的净距,不宜小于平行的净距。
7.2.12 暗敷于地下的金属导管不应穿过设备基础;金属导管及金属槽盒在穿过建筑物伸缩缝、沉降缝时,应采取防止伸缩或沉降的补偿措施。
7.2.13 采用金属导管布线,除非重要负荷、线路长度小于15m、金属导管的壁厚大于等于2mm,并采取了可靠地防水、防腐蚀措施后,可在屋外直接埋地敷设外,不宜在屋外直接埋地敷设。
7.2.14 同一路径无妨干扰要求的线路,可敷设于同一金属管或金属槽盒内。金属导轨或金属槽盒内导线额总截面积不宜超过其截面积的40%,且金属槽盒内载流量导线不宜超过30根。
7.2.15 控制、信号等非电力回路导线敷设于同一金属导管或金属槽盒内时,导线的总截面积不宜超过其截面积的50%。
7.2.16 除专用接线盒内外,导线在金属槽盒内不应有接头(jiē tóu)。有专用接线盒的金属槽盒宜布置在易于检查的场所。导线和分支接头的总截面积不应超过该点槽盒内截面积的75%。
7.2.17 金属槽盒垂直或倾斜敷设时,应采取防止导线在线槽内移动的措施。
7.2.18 金属槽盒敷设的吊架或支架,宜在下列部位设置:
1 直线段宜为2m ~3m或槽盒接头处;
2 槽盒首端、终端及进出接线盒0.5m处;
3 槽盒转角处。
7.2.19 金属槽盒的连接处,不得设在穿越楼板或墙壁等孔处。
7.2.20 有金属槽盒引出的线路,可采用金属导管、塑料导管、可弯曲金属导管、金属软导管或电缆等布线方式。导线在引出部分应有防止损伤的措施。
(Ⅳ)可弯曲金属导管布线
7.2.21 敷设在正常环境屋内场所的建筑物顶棚内或暗敷于墙体、混凝土地面、楼边垫层或现浇钢筋混凝土楼边内时,可采用基本型可弯曲金属导管布线。明敷于潮湿场所或直埋地下素土内时,应采用防水型可弯曲金属导管。
7.2.22 可弯曲金属导管布线,管内导线的总截面积不宜超过管内截面积的40%。
7.2.23 可弯曲金属导管布线,其与热水管、蒸汽管或其他管路同侧敷设时,应符合本规范第7.2.11条的规定。
7.2.24 暗敷于现浇钢筋混凝土楼板内的可弯曲金属导管,其表面混凝土覆盖层不应小于15mm。
7.2.25 可弯曲金属导管有可能受重物压力或明显机械冲击处,应采取保护措施。
7.2.26 可弯曲金属导管布线,导管的金属外壳等非带电金属部分应可靠接地,且不应利用导管金属外壳做接地线。
7.2.27 暗敷于地下的可弯曲金属导管的管路不应穿过设备基础。
(Ⅴ)地面内暗装金属槽盒布线
7.2.28 正常环境下大空间且隔断变化多、用电设备移动性大或敷有多功能线路的屋内场所,宜采用地面内暗装金属槽盒布线,且应暗敷于现浇混凝土地面、楼板或楼板垫层内 。
7.2.29 采用(cǎiyòng)地面内暗装金属槽盒布线时,应将同一回路的所有导线敷设在同一槽盒内。
7.2.30 采用地面内安装金属槽盒布线时,应将电力线路、非电力线路分槽或增加隔板敷设,两种线路交叉处应设置有屏蔽分线板的分线盒。
7.2.31 有配电箱、电话分线箱及接线端子箱等设备引至地面内暗装金属槽盒的线路,宜采用金属管布线方式引入分线盒,或以终端连接器直接引入槽盒。
7.2.32 地面内暗装金属槽盒出线口和分线盒不应突出地面,且应做好防水密封处理。
(Ⅵ)塑料导管和塑料槽盒布线
7.2.33 有酸碱腐蚀介质的场所宜采用塑料导管和塑料槽盒布线,但在高温和易受机械损伤的场所不宜采用明敷。
7.2.24 布线用塑料导管,应符合现行国家标准《电气安装用电缆导管系统 第1部分:通用要求》GB/T20041.1中非火焰蔓延型塑料导管;布线用塑料槽盒,应符合现行国脚标准《电气安装用电缆槽管系统 第1部分:通用要求》GB/T19215.1中非火焰蔓延型的有关规定。塑料导管暗敷或埋地敷设时,应选用中等机械应力以上的导管,并应采取防止机械损伤的措施。
7.2.35 塑料导管和塑料槽盒不宜与热水管、蒸汽管同侧敷设。
7.2.36 塑料导管和塑料槽盒布线,应符合本规范第7.2.14条、第7.2.15条和第7.2.16条的有关规定。
7.3 钢索布线
7.3.1 钢索布线在对钢索有腐蚀的场所,应采取防腐蚀的措施。
7.3.2 钢索上绝缘导体至地面的距离,应符合本规范第7.2.1条第2款的规定。
7.3.3 钢索布线应符合下列规定:
1 屋内的钢索布线,采用绝缘导体明敷时,应采用瓷夹、塑料夹、鼓形绝缘子或针式绝缘子固定;采用护套绝缘导线、电缆、金属导管及金属槽盒或塑料导管及塑料槽盒布线时,可将其直接固定于钢索上;
2 屋外的钢索(ɡānɡ suǒ)布线,采用绝缘导线明敷时,应采用鼓形绝缘子、针式或碟式绝缘子固定;采用电缆、金属导管及金属槽盒布线时,可将其直接固定于钢索上。
7.3.4 钢索布线所采用的钢索的截面积,应根据跨距、荷重和机械强度等因素确定,且不宜小于10mm2.钢索固定件应镀锌或涂防腐漆。钢索除两端拉紧外,跨距大的应在中间增加支持点,其间距不宜大于12m。
7.3.5 在钢索上吊装金属导管或塑料导管布线时,应符合下列规定:
1 支持点之间及支持点与灯头盒之间的最大间距,应符合表7.3.5的规定;
表7.3.5 支持点之间及支持点与灯头盒之间的最大间距(mm)
| 布线类别 | 支持点之间 | 支持点与灯头盒之间 |
| 金属导管 | 1500 | 200 |
| 塑料导管 | 1000 | 150 |
2 吊装接线盒和管道的扁钢卡子宽度,不应小于20mm;吊装接线盒的卡子,不应少于2个。
7.3.6 钢索上吊装护套绝缘导体布线时,应符合下列规定:
1 采用铝卡子直敷在钢索上时,其支持点间距不应大于500mm;卡子距接线盒的间距不用大于100mm;
2 采用橡胶和塑料护套绝缘导线时,接线盒应采用塑料制品。
7.3.7 钢索上采用瓷瓶吊装绝缘导线布线时,应符合下列规定:
1 支持点间距不应大于1.5m;
2 线间距离,屋内不应小于50mm;屋外不应小于100mm;
3 扁钢吊架终端应加拉线,其直径不应小于3mm。
7.4 裸导体布线
7.4.1 除配电室外,无遮护的裸导体至地面的距离,不应小于3.5m;采用防护等级不低于现行国家标准《外壳防护等级(IP代码)》GB4208规定的IP2×的网孔遮栏时,不应小于2.5m。网状遮栏与裸导体的间距,不应小于100mm;板状遮栏与裸导体的间距,不应小于50mm。
7.4.2 裸导体与需经常维护(wéihù)的管道同侧敷设时,裸体应敷设在管道的上方。
7.4.3 裸导体与需经常维护的管道以及与生产设备最凸处部位的净距不应小于1.8m;当其净距小于等于1.8m时,应加遮栏。
7.4.4 裸导体的线间及裸导体至建筑物表面的最小净距应符合本规范表7.2.5的规定。硬导体固定点的间距,应符合在通过最大短路电流时的动稳定要求。
7.4.5 桥式起重机上方的裸导体至起重机平台铺板的净距不应小于2.5m;当其净距小于等于2.5m,其裸导体下方应装设遮栏。除滑触线本身的辅助导线外,裸导体不宜与起重机滑触线敷设在同一支架上。
7.5 封闭式母线布线
7.5.1 干燥和无腐蚀性气体的屋内场所,可采用封闭式母线布线。
7.5.2 封闭式母线敷设时,应符合下列规定:
1 水平敷设时,除电气专用房间外,与地面的距离不应小于2.2m;垂直敷设时,距地面1.8m以下部分应采取防止母线机械损伤措施。母线终端无引出线和引入线时,端头应封闭。
2 水平敷设时,宜按荷载曲线选取最佳跨距进行支撑。进线盒及末端悬空时,应采用支架固定。
3 垂直敷设时,在通过楼板处应采用专用附件支撑,进线盒及末端悬空时,应采用支架固定。
4 直线敷设长度超过制造厂给定的数值是,宜设置伸缩节。在封闭式母线水平跨越建筑物的伸缩缝或沉降缝处,应采取防止伸缩或沉降的措施。
5 母线的插接分支点,应设在安全级安装维护方便的地方。
6 母线的连接点不应再穿过楼板或墙壁处。
7 母线在穿过防火墙及防火楼板时,应采取防火隔离措施。
7.5.3 封闭式母线外壳及支架应可靠接地,全长应不少于2处于接地干线相连 。
7.6 电缆(diànlǎn)布线
(Ⅰ)一般规定
7.6.1 电缆路径的选择,应符合下列规定:
1 应使用电缆不易受到机械、震动、化学、地下电流、水锈蚀、热影响、蜂蚁和鼠害等损伤;
2 应便于维护;
3 应避开场地规划中的施工用地或建设用地;
4 应使电缆路径较短。
7.6.2 露天敷设的有塑料或橡胶外护层的电缆,应避免日光长时间的直晒;当无法避免时,应加装遮阳罩或采用耐日照的电缆。
7.6.3 电缆载屋内、电缆沟、电缆隧道和电气竖井内明敷时,不应采用易延燃的外保护层。
7.6.4 电缆不应再易燃、易爆及可燃的气体管道或液体管道的隧道或沟道内敷设。当受条件限制需要在这类隧道或沟道内敷设电缆时,应采取防爆、防火的措施。
7.6.5 电力电缆不宜在有热力管道的隧道或沟道内敷设。当需要敷设时,应采取隔热措施。
7.6.6 支承电缆的构架,采用钢制材料时,应采取热镀锌或其他防腐措施;在有较严重腐蚀的环境中,应采取向适应的防腐措施。
7.6.7 电缆宜在进户处、接头、电缆头处或地沟及隧道中留有一定长度的余量 。
(Ⅱ)电缆在屋内敷设
7.6.8无铠装的电缆在屋内明敷,除明敷在电气专用房间外,水平敷设时,与地面的距离不应小于2.5m;垂直敷设时,与地面的距离不应小于1.8m;当不能满足上述要求时,应采取防止电缆机械损伤的措施。
7.6.9 屋内相同的电压的电缆并列明敷时,除敷设在托盘、梯架和槽盒内外,电缆之间的净距不应小于35mm,且不应小于电缆外径。1kV及以下电力电缆及控制电缆与1kV以上电力电缆并列明敷时,其净距不应小于150mm。
7.6.10 在屋内架空明敷的电缆与热力(rèlì)管道的净距,平行时不应小于1m;交叉时不应小于0.5m;当净距不能满足要求时,应采取隔热措施。电缆与非热力管道的净距,不应小于0.5m;当净距不能满足要求时,应在与管道接近的电缆段上,采取防止电缆受机械损伤的措施。在有腐蚀性介质的房屋内明敷的电缆,宜采用塑料护套电缆。
7.6.11 钢索上电缆布线吊装时,电力电缆固定点间的间距不应大于0.75m;控制电缆固定点间的间距不应大于0.6m。
7.6.12 电缆载屋内埋地穿管敷设,或通过墙、楼板穿管时,其穿管的内径不应小于电缆外径的1.5倍。
7.6.13 除技术夹层外,电缆托盘和梯架距店面的高度不宜低于2.5m。
7.6.14 电缆在托盘和梯架内敷设时,电缆总截面积与托盘和梯架横断面面积之比,电力电缆不应大于40%,控制电缆不应大于50%。
7.6.15 电缆托盘和梯架水平敷设时,宜按荷载曲线选取最佳跨距进行支撑,且支撑点间距宜为1.5m~3m。垂直敷设时,其固定点间距不宜大于2m。
7.6.16 电缆托盘和梯架多层敷设时,其层间距离应符合下列规定:
1 控制电缆间不应小于0.20m;
2 电力电缆间不应小于0.30m;
3 非电力电缆与电力电缆间不应小于0.50m;当有屏蔽盖板时,可为0.30m;
4 托盘和梯架上部距顶棚或其他障碍物不应小于0.30m。
7.6.17 几组电缆托盘和梯架在同一高度平行敷设时,各相邻电缆托盘和梯架间应有满足维护、检修的距离。
7.6.18 下列电缆,不宜敷设在同一层托盘和梯架上:
1 1kV以上与1kV及以上的电缆;
2 同一路径向一级负荷供电的双路电源电缆;
3 应急照明与其他照明的电缆;
4 电力电缆与非电力电缆。
7.6.19 本规范第7.6.18条规定的电缆,当受条件(tiáojiàn)限制需安装在同一层托盘和梯架上时,应采用金属隔板隔开。
7.6.20 电缆托盘和梯架不宜敷设在热力管道的上方及腐蚀性液体管道的下方;腐蚀性气体的管道,当气体比重大于空气是,电缆托盘和梯架宜敷设在其上方;当气体比重小于空气时,宜敷设在其下方。电缆托盘和梯架与管道的最小净距,应符合表7.6.20的规定。
表7.6.20 电缆托盘和梯架与各种管道的最小净距(m)
| 管道类别 | 平行净距 | 交叉净距 | |
| 有腐蚀性液体、气体的管道 | 0.5 | 0.5 | |
| 热力管道 | 有保温层 | 0.5 | 0.3 |
| 无保温层 | 1.0 | 0.5 | |
| 其他工艺管道 | 0.4 | 0.3 | |
7.6.21 电缆托盘和梯架在穿过防火墙及防火楼板时,应采取防火封堵。
7.6.22 金属电缆托盘、梯架及支架应可靠接地,全长不应少于2处与接地干线相连。
(Ⅲ)电缆在电缆隧道或电缆沟内敷设
7.6.23 电缆载电缆隧道或电缆沟内敷设时,其通道宽度和支架层间垂直的最小净距,应符合表7.6.23的规定。
表7.6.23 通道宽度和电缆支架层间垂直的最小净距(m)
| 项目 | 通道宽度 | 支架层间垂直最小净距 | |||
| 两侧设支架 | 一侧设支架 | 电力线路 | 控制线路 | ||
| 电缆隧道 | 1.00 | 0.90 | 0.20 | 0.12 | |
| 电缆沟 | 沟深≤0.60 | 0.30 | 0.30 | 0.15 | 0.12 |
| 沟深≤0.60 | 0.50 | 0.45 | 0.15 | 0.12 | |
7.6.24 电缆隧道和电缆沟应采取防水措施,其底部排水沟的坡度不应小于0.5%,并应设集水坑,积水可经集水坑用泵排出。当有条件时,积水可直接排入下水道。
7.6.25 在多层支架上敷设电缆时,电力电缆应敷设在控制电缆的上层;当两侧均有支架时,1kV及以下的电力电缆和控制电缆宜与1kV以上的电力电缆分别敷设于不同侧支架上。
7.6.26 电缆支架的长度,在电缆沟内不宜大于350mm;在电缆隧道内不宜大于500mm。
7.6.27 电缆(diànlǎn)在电缆隧道或电缆沟内敷设时,支架间或固定点间的最大间距应符合表7.6.27的规定。
表7.6.27 电缆支架间或固定点间的最大间距(m)
| 敷设方式 | 水平敷设 | 垂直敷设 | |
| 塑料护套、钢带铠装 | 电力电缆 | 1.0 | 1.5 |
| 控制电缆 | 0.8 | 1.0 | |
| 钢丝铠装 | 3.0 | 6.0 | |
7.6.28 电缆沟在进入建筑物处应设防火墙。电缆隧道进入建筑物处以及在进入变电所处,应设带门的防火墙。防火门应装锁。电缆的穿墙处保护管两端应采用难燃材料封堵。
7.6.29 电缆沟或电缆隧道,不应设在可能流入熔化金属液体或损害电缆外护层和护套的地段。
7.6.30 电缆沟盖板宜采用钢筋混凝土盖板或钢盖板。钢筋混凝土盖板的重量不一超过50kg,钢盖板的重量不宜超过30kg。
7.6.31 电缆隧道内的净高不应低于1.9m。局部或与管道交叉处净高不宜小于1.4m。隧道内应采取通风措施,有条件时宜采用自然通风。
7.6.32 当电缆隧道长度大于7m时,电缆隧道两端应设出口;两个出口间的距离超过75m时,尚应增加出口。人孔井可作为出口,人孔井直径不应小于0.7m。
7.6.33 电缆隧道内应设照明,其电压不应超过36V;当照明电压超过36V 时,应采取安全措施。
7.6.34 与电缆隧道无关的管线不得穿过电缆隧道。电缆隧道和其他地下管线交叉时,应避免隧道局部下降。
(Ⅳ)电缆埋地敷设
7.6.35 电缆直接埋地敷设时,沿同一路径敷设的电缆数量不宜超过6根。
7.6.36 电缆在屋外直接埋地敷设的深度不应小于700mm;当直埋在农田时,不应小于1m。在电缆上下方应均匀铺设砂层,其厚度宜为100mm;在砂层应覆盖混凝土保护板等保护层,保护层宽度应超出电缆两侧各50mm。
7.6.37 在寒冷地区(dìqū),屋外直接埋地敷设的电缆应埋设于冻土层以下。当手条件限制不能深埋时,应采取防止电缆受到损伤的措施。
7.6.38 电缆通过下列地段应穿管保护,穿管内径不应小于电缆外径的1.5倍:
1 电缆通过建筑物和构筑物的基础,散水坡、楼板和穿过墙体等处;
2 电缆通过铁路、道路处和可能受到机械损伤的地段;
3 电缆引出地面2m至地下200mm处的部分;
4 电缆可能受到机械损伤的地方。
7.6.39 埋地敷设的电缆间及其与建筑物、构筑物等的最小净距,应符合现行国家标准《电力工程电缆设计规范》GB50217的有关规定。
7.6.40 电缆与建筑物平行敷设时,电缆应埋设在建筑物的散水坡外。电缆引入建筑物时,其保护管应超出建筑物散水坡100mm。
7.6.41 电缆与热力管沟交叉,当采用电缆穿隔热水泥管保护时,其长度应伸出热力管沟两侧各2m;采用隔热保护层时,其长度应超过热力管沟两侧各1m。
7.6.42 电缆与道路、铁路交叉时,应穿管保护,保护管应伸出路基1m。
7.6.43 埋地敷设电缆的接头盒下面应垫混凝土基础板,其长度以超过接头保护盒两端0.6m~0.7m。
(Ⅴ)电缆在多孔导管内敷设
7.6.44 电缆在多孔导管内的敷设,应采用塑料护套电缆或裸铠装电缆。
7.6.45 多孔导管可采用混凝土管或塑料管。
7.6.46 多孔管应一次留足备用管孔数;当无法预计发展情况时,可留1个~2个备用孔。
7.6.47 当地面上均应荷载超过10t/㎡或通过铁路及遇有类似情况时,应采取防止多孔导管受到机械损伤的措施。
7.6.48 多孔导管孔的内径不应小于电缆外径的1.5倍,且穿电力电缆的管孔内径不应小于90mm;穿控制电缆的管孔内径不应小于75mm。
7.6.49 多孔导管的敷设,应符合下列规定:
1 多孔导管的敷设时,应有倾向人孔井侧大于等于(děngyú)0.2%的排水坡度,并在人孔井内设集水坑,以便集中排水;
2 多孔导管顶部距地面不应小于0.7m,在人行下面时不应小于0.5m;
3 多孔导管沟底部应垫平夯实,并应铺设厚度大于等于60mm的混凝土垫层。
7.6.50 采用多孔导管敷设,在转角、分支或变更敷设方式改为直埋或电缆沟敷设时,应设电缆人孔井。在直接段上设置的电缆人孔井,其间距不宜大于100m。
7.6.51 电缆人孔井的净空高度不应小于1.8m,其上部人孔的直径不应小于0.7m。
(Ⅵ)矿物绝缘电缆敷设
7.6.52 屋内高温或耐火需要的场所,宜采用矿物绝缘电缆。
7.6.53 矿物绝缘电缆敷设时,其允许最小弯曲半径应符合表7.6.53的规定。
表7.6.53 矿物绝缘电缆允许最小弯曲半径(mm)
| 电缆外径 | 最小弯曲半径 |
| <7 | 2D |
| ≥7,且<12 | 3D |
| ≥12,且<15 | 4D |
| ≥15 | 6D |
注:D为电缆外径。
7.6.54 矿物绝缘电缆载下列场合敷设时,应将电缆敷设成“S”或“Ω”形。矿物绝缘电缆弯曲半径不应小于电缆外径的6倍。
1 在温度变化的的场合;
2 振动设备的布线;
3 建筑物的沉降缝和伸缩缝之间。
7.6.55 矿物绝缘电缆敷设时,除在转弯处、中间连接器两侧外,应设置固定点固定,固定点的最大间距应符合表7.6.55的规定。
表7.6.55 矿物绝缘电缆固定点的最大间距(mm)
| 电缆外径 | 固定点间的最大的间距 | |
| 水平敷设 | 垂直敷设 | |
| <9 | 600 | 800 |
| ≥9,且<15 | 900 | 1200 |
| ≥15 | 1500 | 2000 |
注:当矿物绝缘(juéyuán)电缆倾斜敷设时,电缆与垂直方向小于等于30°时,应按垂直敷设间距固定;大于3°时,应按水平敷设间距固定。
7.6.56 敷设的矿物绝缘电缆可能遭受到机械损伤的部位,应采取保护措施。
7.6.57 当矿物绝缘电缆敷设在对铜护套有腐蚀作用的环境或部分埋地、穿管敷设时,应采用有聚氯乙烯护套的电缆。
(Ⅶ)预分支电缆敷设
7.6.58 预分支电缆敷设时,宜将分支电缆紧紧地绑扎在主干电缆上,待主干电缆安装固定后,再将分支电缆的绑扎解开。敷设安装时,不应过分强拉分支电缆。
7.6.59 预制分支电力电缆的主干电缆采用单芯电缆时,应防止涡流效应和电磁干扰,不应使用导磁金属夹具。
7.7 电气竖井布线
7.7.1 多层和高层建筑物内垂直配电干线的敷设,宜采用电气竖井布线。
7.7.2 电气竖井垂直布线时,其固定及垂直干线与分支干线的连接方式,应能防止顶部最大垂直变位和层间垂直变位对干线的影响,以及导线及金属保护管、罩等自重所带来的载重(荷重)影响。
7.7.3 电气竖井内垂直布线采用大容量单芯电缆、大容量母线做干线时,应符合下列要求:
1 载流量要留有裕度;
2 分支容易、安全可靠;
3 安装及维修方便和造价经济。
7.7.4 电气竖井的位置和数量,应根据用电符合性质、供电半径、建筑物的沉降缝设置和防火分区等因素确定,并应符合下列规定:
1 应靠近用电负荷中心;
2 应避免邻近烟囱、热力管道及其他散热量大或潮湿的设施 ;
3 不应和电梯、管道间公用同一电气竖井。
7.7.5 电气竖井的井壁应采用耐火极限不低于1h的非燃烧体。电气竖井在每层楼(cénɡ lóu)应设维护检修门并应开向公共走廊,检修门的耐火极限不应底油丙级。楼层间应采用防火密封隔离。电缆和绝缘线在楼层间穿钢管时,两端管口空隙应做密封隔离。
7.7.6 同一电气竖井内的高压、低压和应急电源的电气线路,其间距不应小于300mm或采取隔离措施。高压线路应设有明显标志。当电力线路和非电力线路在同一电气竖井内敷设时,应分别在电气竖井的两侧敷设或采取防止干扰的措施;对回路线数及种类较多的电力线路和非电力线路,应分别设置在不同电气竖井内。
7.7.7 管路垂直敷设,当导线截面积小于等于50mm2、长度大于20m时,应装设导线固定盒、且在盒内用线夹将导线固定。
7.7.8 电气竖井的尺寸,除应满足布线间隔及端子箱、配电箱布置的要求外,在箱体前宜有大于等于0.8m的操作、维护距离。
7.7.9 电气竖井内不应设有与其无关的管理。
附录A 系数k值
A.0.1 由导体、绝缘和其他部分的材料以及初始(chū shǐ)和最终温度决定的系数,其值应按下式计算:
式中:k——系数;
Qc——导体材料在20℃时的体积热容量,按表A.0.1的规定确定[J/(℃·mm3);
β——导体在0℃时电阻率温度系数的倒数,按表A.0.1的规定确定(℃)
ρ20——导体材料在20℃时的电阻率,按表A.0.1的规定确定(Ω·mm)
θi——导体初始温度(℃)
θf——导体最终温度(℃)
表A.0.1 不同材料的参数值
| 材料 | β(℃) | Qc [J/(℃·mm3)] | ρ20(Ω·mm) |
| 铜 | 234.5 | 3.45×10-3 | 17.241×10-6 |
| 铝 | 228 | 2.5×10-3 | 28.264×10-6 |
| 铅 | 230 | 1.45×10-3 | 214×10-6 |
| 钢 | 202 | 3.8×10-3 | 138×10-6 |
A.0.2 非电缆芯线且不与其他电缆成束敷设的绝缘保护导体的初始、最终温度和系数,其值应按表A.0.2的规定确定。
表A.0.2 非电缆芯线且不与其他电缆成束敷设的绝缘保护导体的初始、最终温度和系数
| 导体绝缘 | 温度 | 导体材料的系数 | |||
| 初始 | 最终 | 铜 | 铝 | 钢 | |
| 70℃聚氯乙烯 | 30 | 160(140) | 143(133) | 95(88) | 52(49) |
| 90℃聚氯乙烯 | 30 | 160(140) | 143(133) | 95(88) | 52(49) |
| 90℃热固性材料 | 30 | 250 | 176 | 116 | 64 |
| 60℃橡胶 | 30 | 200 | 159 | 105 | 58 |
| 85℃橡胶 | 30 | 220 | 166 | 110 | 60 |
| 硅橡胶 | 30 | 350 | 201 | 133 | 73 |
注:括号内数值适用于截面积大于300mm2聚氯乙烯绝缘导体。
A.0.3 与电缆护层接触但不与其他电缆成束敷设的裸保护导体的初始、最终温度和系数,其值应按表A.0.3de规定确定。
表A.0.3 与电缆护层接触(jiēchù)但不与其他电缆成束敷设
的裸保护导体的初始、最终温度和系数
| 电缆护层 | 温度(℃) | 导体材料的系数 | |||
| 初始 | 最终 | 铜 | 铝 | 钢 | |
| 聚氯乙烯 | 30 | 200 | 159 | 105 | 58 |
| 聚乙烯 | 30 | 150 | 138 | 91 | 50 |
| 氯磺化聚乙烯 | 30 | 220 | 166 | 110 | 60 |
A.0.4 电缆芯线或其他电缆或绝缘导体成束敷设的保护导体的初始、最终温度和系数,其值应按表A.0.4的规定确定。
表A.0.4 电缆芯线或与其电缆或绝缘导体成束敷设的
保护导体的初始、最终温度和系数
| 导体绝缘 | 温度(℃) | 导体材料的系数 | |||
| 初始 | 最终 | 铜 | 铝 | 钢 | |
| 70℃聚氯乙烯 | 70 | 160(140) | 115(103) | 76(68) | 42(37) |
| 90℃聚氯乙烯 | 90 | 160(140) | 100(86) | 66(57) | 36(31) |
| 90℃热固性材料 | 90 | 250 | 143 | 94 | 52 |
| 60℃橡胶 | 60 | 200 | 141 | 93 | 51 |
| 85℃橡胶 | 85 | 220 | 134 | 89 | 48 |
| 硅橡胶 | 180 | 350 | 132 | 87 | 47 |
注:括号内数值适用于截面积大于300mm2聚氯乙烯绝缘导体。
A.0.5 用电缆的金属护层做保护导体的初始、最终温度和系数,其值应按表A.0.5的规定确定。
表A.0.5 用电缆的金属护层做保护导体的初始、最终温度和系数
| 电缆绝缘 | 温度(℃) | 导体材料的系数 | ||||
| 初始 | 最终 | 铜 | 铝 | 铅 | 钢 | |
| 70℃聚氯乙烯 | 60 | 200 | 141 | 93 | 26 | 51 |
| 90℃聚氯乙烯 | 80 | 200 | 128 | 85 | 23 | 46 |
| 90℃热固性材料 | 80 | 200 | 128 | 85 | 23 | 46 |
| 60℃橡胶 | 55 | 200 | 144 | 95 | 26 | 52 |
| 85℃橡胶 | 75 | 200 | 140 | 93 | 26 | 51 |
| 硅橡胶 | 70 | 200 | 135 | – | – | – |
| 裸露的矿物护套 | 105 | 250 | 135 | – | – | – |
注:电缆的金属护层,如铠装、金属护套、同心导体等。
A.0.6 裸导体温度不损伤相邻材料时的初始、最终温度和系数,其值应按表A.0.6的规定。
表A.0.6 裸导体温度不损伤(sǔnshāng)相邻材料时初始、最终温度和系数
| 裸导体所在的
环境 |
温度 | 导体材料的系数 | |||||
| 初始温度 | 最终温度 | 铜 | 铝 | 钢 | |||
| 铜 | 铝 | 钢 | |||||
| 可见的和狭窄的区域内 | 30 | 500 | 300 | 500 | 228 | 125 | 82 |
| 正常环境 | 30 | 200 | 200 | 200 | 159 | 105 | 58 |
| 有火灾危险 | 30 | 150 | 150 | 150 | 138 | 91 | 50 |
A.0.7 相导体的初始、最终温度和系数,其值应按表A.0.7的规定确定。
表A.0.7 相导体的初始、最终温度和系数
| 导体绝缘 | 温度(℃) | 相导体的系数 | ||||
| 初始温度 | 最终温度 | 铜 | 铝 | 铜导体的锡焊接头 | ||
| 聚氯乙烯 | 70 | 160(140) | 115(103) | 76(68) | 115 | |
| 交联聚乙烯和乙丙橡胶 | 90 | 250 | 143 | 94 | – | |
| 工作温度60℃的橡胶 | 60 | 200 | 141 | 93 | – | |
| 矿物质 | 聚氯乙烯护套 | 70 | 160 | 115 | – | – |
| 裸护套 | 105 | 250 | 135 | – | – | |
注:括号内数值适用于截面积大于300mm2的聚氯乙烯绝缘导体
1 为便于在执行本规范条文时区别对待,对要求严格程度不用的用词说明如下:
1) 表示很严格,非这样做不可的:
正面词采用“必须”,反面词采用“严禁”;
2 )表示严格,在正常情况下均应这样做的:
正面词采用“应”,反面词采用“不应”或“不得”;
3)表示允许稍有选择,在条件许可时首先应这样做的:
正面词采用“宜”,反面词采用“不宜”;
表示有选择,在一定条件下可以这样做的,采用“可”
2 条文中指明(zhǐmíng)应按有关标准执行的写法为:“应符合……的规定”或“应按……执行”
《电力工程电缆(diànlǎn)设计规范》GB50217
《通用用电设备配电设计规范》GB50055
《低压流体输送用焊接钢管》GB/T3091
《外壳防护等级(IP代码)》GB4208
《隔离变压器和安全隔离变压器 技术要求》GB13028
《建筑物电气装置 第5部分:电气设备的选择和安装 第523节:布线系统 载流量》GB/T16895.15
《建筑物电气装置 第4-41部分:安全防护 电击防护》GB16895.21
《电击防护 装置和设备的通用部分》GB/T17045
《电气安装用电缆槽管系统 第1部分:通用要求》GB/T19215.1
《电气安装用电缆槽管系统 第2部分:特殊要求 第1节:用于安装在墙上或天花板上的电缆槽管系统》GB/T19215.2
《电气安装用导管系统 第1部分:通用要求》GB/T20041.1


