继电器与交流接触器看起来很象,它们都有线圈和电磁系统,都有触点或者触头。但继电器没有灭弧系统,这说明什么?
继电器与接触器之间的姻缘还是挺深的,它们同属于电磁继电器范畴。
我们知道,继电器有电压继电器和电流继电器,而电压继电器又分为过电压继电器、欠电压继电器。接触器类似于电压继电器。
那么两者的本质区别是什么?是应用范围和场合。
接触器应用于电能的切换和控制,它工作在配电网的主回路。所谓主回路,指的就是电能传递和控制的回路。
由于主回路中电流很大,所以接触器一般都需要配套灭弧装置。
继电器应用于控制信号的放大、传递、控制等等,它工作在辅助回路。所谓辅助回路,指的就是控制回路。
由此可见,继电器与交流接触器的应用场合完全不同,两者的工作特性当然也不一样。
我们来看图1:

由此可见,接触器与继电器的不管是工作特性还是运用场合,是完全不同的。
下面,我用几篇文章的篇幅,来给大家解析接触器与继电器的异同点。
区别之一:触头和触点
继电器和接触器的触点名称叫法不同。对于继电器来说,我们用的还是触点这个词汇,但接触器则必须用触头这个词汇。
事实上,对于工作在主回路的所有主回路元件,它们的接触点都是触头。例如断路器触头、隔离开关触头、接触器触头等等。
相应地,我们会在辅助回路中看见各种继电器触点,例如中间继电器触点、时间继电器触点和电压继电器触点等等。有时,还会看到断路器的辅助触点和接触器的辅助触点。
那么触头和触点的本质区别是什么?
1.接触点特征不同
触点,顾名思义,就是点接触形式。
点接触的特征是接触压力较大,但带载能力较弱,不能流过较大的电流。
触头,除了点接触形式外,还有线接触形式和面接触形式。见图2:

在这三种接触形式中,线接触具有自清洁性,因为在接触过程中,线接触具有滑动的过程,会把触头上的氧化层给磨掉,所以线接触具有较好的带载能力。
面接触具有较大的电流,但其接触压力低,因而需要经常清洁接触表面。
为何接触压力对电气接触会有如此大的影响?这和电接触的斥力特性有关。
2.斥力特性
斥力特性与一位著名工程师有关,他是西门子公司的电气工程师霍姆。
霍姆,在百度百科上甚至都查不到他,然而,他在电接触领域的贡献却十分了得,是电接触理论的开山鼻祖。虽然霍姆已经不在了,但每年世界上都会举办霍姆电接触年会,并发布数以百计的最新发展。我国也参加了霍姆电接触组织。
我们看图3:

图3中,左图是电接触的触头,下面是静触头,上面是动触头。我们看到,由于接触点知友一个点,所以电流线在触头内部按图示分布。
注意到静触头右侧的电流线Ijr,用右手螺旋定则可以判断出它产生的磁力线方向,如右图所示。我们看到,它的左侧磁力线是离开纸面出来,右侧则是进入纸面。
再看动触头右侧的电流线Idr,用左手定则可以判断它的电动力F的方向,如右图所示。我们把F分解为垂直的Y方向和水平的X方向,我们发现,水平方向的电动力Fx会被动触头左侧电流线Idl产生的水平方向电动力给抵消,但垂直方向的电动力则会叠加。
如此一来,我们看出动触头受到一股向上的斥力Fhy。同理,静触头也受到一股向下的电动斥力Fhy’。Fhy与Fhy’合称触头的霍姆斥力。霍姆斥力的作用就是把触头斥开,并且电流越大,斥力也就越大。
霍姆斥力的计算公式如下:

这里的触头视在面积指的是触头底部与导电杆相接处的面积,而触头触点面积则是动静触头接触处的面积。
一般地,不管触头有多大,它们的触点个数不会超过3个,并且接触点半径在0.5mm以下,一般为0.2mm左右。可见触头在接触点处的发热会有多么严重。
我们不妨通过一个实例来看一下。
设,某交流接触器的额定电流为100A,它的触头视在面积为5mmX8mm,触点半径为0.5mm。又知道它的动静触头压力为35N,试求它的霍姆斥力。
我们将数据代入公式即可:

我们看到,这个值小得很,对于触头压力来说,根本就不值一提。
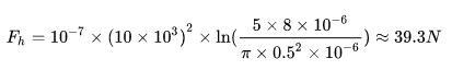
但现在接触器的负载处发生了短路,我们假定短路电流是10kA,情况又会如何?我们代入数据计算一番:

我们看到,这下触头的霍姆斥力就大于触头压力了。
但这会带来何种影响?
影响是巨大的:由于触头被斥开,触头间隙处会出现电弧并烧蚀触头。与此同时,触头一旦斥开,触头间流过的只是电弧电流,它的值较小,因此触头又会在触头压力作用下重新闭合,然后再斥开。如此几次过后,触头材料就会发生熔焊。
这种现象叫做电接触的动稳定性,它与触头的霍姆斥力有关。
由于发生了短路,断路器会执行开断电路的操作。但断路器开断需要时间,于是在这段时间内,接触器与断路器之间就有了相互的配合关系。
这种配合关系在国家标准GB14048.4-2008《低压开关电器和控制电器 第4部分:接触器和电动机保护器……》中被定义为短路配合关系。其中类型1(type1)的接触器触头会熔焊,类型2(type2)的接触器触头不会熔焊。所以在选型时务必对接触器和断路器的短路配合关系要加以关注。
================
